Intégrales impropres

Les intégrales définies ont une grande variété d'applications. Les intégrales définies sont utilisées pour trouver l'aire sous une courbe, pour trouver le déplacement d'une voiture en accélération, et même pour mesurer la quantité de carburant qu'un avion utilise pendant le vol !

C'est parti

Des millions de fiches spécialement conçues pour étudier facilement

Inscris-toi gratuitement

Review generated flashcards

Inscris-toi gratuitement
Tu as atteint la limite quotidienne de l'IA

Commence à apprendre ou crée tes propres flashcards d'IA

Équipe éditoriale StudySmarter

Équipe enseignants Intégrales impropres

  • Temps de lecture: 13 minutes
  • Vérifié par l'équipe éditoriale StudySmarter
Sauvegarder l'explication Sauvegarder l'explication
Inscris-toi gratuitement pour sauvegarder, modifier et créer des fiches.
Sauvegarder l'explication Sauvegarder l'explication
  • Contenu vérifié
  • Publié le: 18.06.2024
  • Temps de lecture: 13 min
Tables des matières
Tables des matières
  • Contenu vérifié
  • Dernière mise à jour: 01.01.1970
  • Temps de lecture: 13 min
  • Processus de création de contenu conçu par
    Lily Hulatt Avatar
  • de contenu vérifiées par
    Gabriel Freitas Avatar
  • Qualité du contenu vérifiée par
    Gabriel Freitas Avatar
Inscris-toi gratuitement pour sauvegarder, modifier et créer des fiches.
Sauvegarder l'explication Sauvegarder l'explication

Sauter à un chapitre clé

    Mais que se passe-t-il si l'intervalle d'intégration est infini ? Ou si la fonction est discontinue dans l'intervalle d'intégration ? Ces intégrales sont connues sous le nom d'intégrales impropres, et nous devons être prudents lorsque nous travaillons avec elles. Voyons comment procéder.

    Types d'intégrales impropres

    Considérons une intégrale définie. Selon l'intervalle d'intégration, les cas suivants peuvent se présenter :

    • l'intégrale est définie sur un intervalle infini ; ou

    • la fonction que tu intègres présente une discontinuité dans l'intervalle d'intégration.

    Si l'une ou l'autre des circonstances ci-dessus se présente, l'intégrale est connue sous le nom d'Intégrale impropre.

    Une intégraleimpropre est une intégrale définie qui est soit définie sur un intervalle infini, soit que la fonction de son intégrande contient une discontinuité dans l'intervalle.

    Évaluation des intégrales impropres

    Une fois que tu as identifié une intégrale impropre, l'étape suivante consiste à l'évaluer. L'évaluation des deux cas implique des limites. Voyons comment traiter chacun d'entre eux.

    Sur un intervalle infini

    Considère l'intégrale définie suivante :

    $$\int_{0}^{2}3e^{\text{-}x}\,\mathrm{d}x .$$

    L'intégrale ci-dessus peut être considérée comme la surface comprise entre \(y=3e^{\text{-}x}\), les lignes verticales \(x=0\) et \(x=2\), et l'axe \(x\).

    Intégrales impropres exponentielles StudySmarterFig. 1. Zone située sous une courbe exponentielle.

    Mais que se passe-t-il si tu continues à aller plus loin vers la droite ?

    Intégrales impropres exponentielles StudySmarterFig. 2. Zone supplémentaire sous la courbe exponentielle.

    Tu peux aller encore plus loin, jusqu'à l'infini, comme dans l'exemple :

    $$\int_{0}^{\infty}3e^{\text{-}x}\,\mathrm{d}x.$$

    Pour évaluer une telle intégrale, tu dois prendre des limites.

    Soit \(f(x)\) une fonction qui est continue pour \(a\leq x\). Si la limite existe, l'intégrale impropre \N(\int_{a}^{\infty}f(x)\N,\mathrm{d}x\N) est définie comme suit :

    $$\int_{a}^{\infty}f(x)\,\mathrm{d}x=\lim_{b\rightarrow \infty}\int_{a}^{b}f(x)\,\mathrm{d}x .$$

    Les autres types d'intégrales impropres impliquant des intervalles infinis sont définis de la même manière.

    Soit \(f(x)\) une fonction continue pour \(x\leq b\). Si la limite existe, l'intégrale impropre \N(\int_{\text{-}\infty}^{b}f(x)\N,\rmath{d}x\N) est définie comme suit :

    $$\int_{\text{-}\infty}^{b}f(x)\,\mathrm{d}x=\lim_{a\rightarrow \infty}\int_{a}^{b}f(x)\,\mathrm{d}x .$$

    Si l'intégrale doit être effectuée sur tous les nombres réels, tu dois la diviser en deux intégrales, chacune d'entre elles impliquant les définitions ci-dessus.

    Soit \(f(x)\) une fonction qui est continue partout. Si les deux limites existent, l'intégrale impropre \(\int_{\text{-}\infty}^{\infty}f(x)\N,\rmathrm{d}x\N) est définie comme suit :

    $$\int_{\text{-}\infty}^{\infty}f(x)\,\mathrm{d}x=\int_{\text{-}\infty}^{0}f(x)\,\mathrm{d}x+\int_{0}^{\infty}f(x)\,\mathrm{d}x .$$

    Pour l'évaluation de ces types d'intégrales impropres, nous suivons les étapes suivantes :

    1. Ecris l'intégrale impropre en utilisant une limite appropriée.
    2. Évalue l'intégrale définie. Cela se fait généralement à l'aide du théorème fondamental du calcul.
    3. Évaluer la limite résultante.

    Voyons un exemple d'intégrale sur un intervalle infini.

    Évalue l'intégrale impropre suivante :

    $$\int_{1}^{\infty} \frac{1}{x^2} \mathrm{d}x.$$

    Réponse :

    Tu devrais commencer par remarquer que, bien que la fonction soit discontinue en \(x=0\), la discontinuité n'est pas incluse dans ton intervalle d'intégration, donc tu peux y aller.

    Intégrales impropres discontinuité StudySmarterFig. 3. La discontinuité n'est pas incluse dans l'intervalle d'intégration.

    Tu peux maintenant suivre les étapes de l'évaluation des intégrales impropres.

    1. Écris l'intégrale impropre comme une limite.

    $$\int_{1}^{\infty} \frac{1}{x^2} \mathrm{d}x = \lim_{b\rightarrow\infty} \int_{1}^{b} \frac{1}{x^2} \mathrm{d}x.$$

    2.Évalue l'intégrale définie.

    Pour cette étape, tu peux trouver l'antidérivée de la fonction à l'aide de la règle des puissances,

    $$\int \frac{1}{x^2} \mathrm{d}x = -\frac{1}{x}+C,$$$

    et utilise ensuite le théorème fondamental du calcul, donc

    $$\int_{1}^{\infty} \frac{1}{x^2} \mathrm{d}x=\lim_{b\rightarrow\infty} \left[ \left( -\frac{1}{b} \right) - \left( -\frac{1}{1} \right) \right].$$

    3. Évalue la limite et simplifie.

    $$ \begin{align} \int_{1}^{\infty}\frac{1}{x^2} \mathrm{d}x &= 0 -(-1) \\n- &= 1. \Nend{align} $$

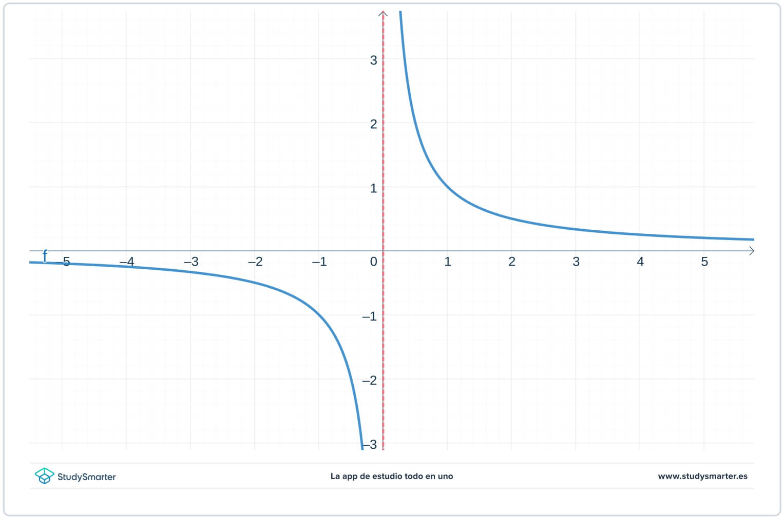
    Sur un intervalle où la fonction n'est pas continue

    Il est également possible d'avoir une intégrale dont l'intégrande est une fonction qui présente une discontinuité dans l'intervalle donné. Dans ce cas, tu n'as pas le droit d'inclure la discontinuité sur l'intégrale, mais tu peux t'en approcher suffisamment.

    Intégrales impropres discontinues rationnelles StudySmarterFig. 4. La fonction rationnelle est discontinue à l'origine.

    Tu dois aussi prendre des limites pour évaluer les intégrales impliquant des discontinuités. Voyons comment procéder.

    Soit \(f(x)\) une fonction continue sur l'intervalle \(a\leq x < b\) mais discontinue à \(x=b\). Son intégrale impropre est définie comme suit :

    $$\int_{a}^{b} f(x) \N, \mathrm{d}x = \lim_{t\rrow b^{-}} \Nint_{a}^{t} f(x) \N, \Nmathrm{d}x.$$

    Dans le cas ci-dessus, la discontinuité se trouvait sur la limite supérieure de l'intégration. Par conséquent, tu dois prendre la limite lorsque tu t'approches de la discontinuité par la gauche .

    Intégrales impropres limite gauche StudySmarterFig. 5. Approche d'une discontinuité par la gauche.

    Voyons maintenant ce qu'il faut faire si la discontinuité se trouve dans la limite inférieure de l'intégration.

    Soit \(f(x)\) une fonction qui est continue pour \(a<x\leq b\) mais discontinue à \(x=a\). Son intégrale impropre est définie comme suit :

    $$\int_{a}^{b} f(x) \N, \mathrm{d}x = \lim_{t\arrow a^{+}} \int_{t}^{b} f(x) \N, \mathrm{d}x.$$

    Pour un rappel sur les limites de gauche et de droite, voir Limites unilatérales.

    Si la discontinuité se trouve sur la limite inférieure de l'intégration, tu prends la limite en t'en approchant par la droite.

    Intégrales impropres limite droite StudySmarterFig. 6. Approche d'une discontinuité par la droite.

    Et si la discontinuité se trouve à l'intérieur de l'intervalle d'intégration ? Tu as alors besoin d'une limite de gauche et d'une limite de droite !

    Soit \N(f(x)\Nune fonction qui est continue pour \N(a\Nleq x\Nleq b\N) sauf en un point \N(c\N) tel que \N(a<c<b\N). Son intégrale impropre est définie comme suit :

    $$\int_{a}^{b} f(x) \, \mathrm{d}x = \int_{a}^{c} f(x) \, \mathrm{d}x + \int_{c}^{b} f(x) \, \mathrm{d}x.$$

    Les étapes à suivre pour évaluer ce type d'intégrales impropres sont à peu près les mêmes que dans les autres cas, tu dois juste faire attention à la discontinuité. Voici les étapes à suivre :

    1. Ecris l'intégrale en utilisant une limite qui s'approche de la discontinuité. Si la discontinuité se trouve à l'intérieur de l'intervalle d'intégration, tu devras diviser l'intégrale et écrire deux limites.
    2. Évalue l'intégrale ou les intégrales résultantes. Cela se fait généralement à l'aide du théorème fondamental du calcul.
    3. Évalue la ou les limites qui en résultent.

    Voyons un exemple d'intégrale impropre impliquant une discontinuité.

    Évalue l'intégrale suivante :

    $$\int_{-3}^{3}\frac{1}{x^3} \mathrm{d}x.$$

    Réponse :

    1. Écris les deux intégrales en utilisant les limites appropriées qui s'approchent de la discontinuité.

    Note que la fonction est discontinue à \(x=0\), tu dois donc la diviser en deux intégrales

    $$\int_{-3}^{3} \frac{1}{x^3} \mathrm{d}x = \int_{-3}^{0} \frac{1}{x^3} \mathrm{d}x + \int_{0}^{3} \frac{1}{x^3} \mathrm{d}x.$$

    2. Évalue la ou les intégrales résultantes.

    Ensuite, tu dois évaluer chaque intégrale. Cela peut se faire en trouvant l'antidérivée de l'intégrande (à l'aide de la règle des puissances).

    $$\int \frac{1}{x^3} \mathrm{d}x = -\frac{1}{2} \cdot \frac{1}{x^2} +C,$$

    puis en utilisant le théorème fondamental du calcul pour chaque paire de limites d'intégration, alors

    $$\int_{-3}^{0} \frac{1}{x^3} \mathrm{d}x=\lim_{t\rightarrow 0^{-}} \left[ \left( -\frac{1}{2} \cdot \frac{1}{t^2} \right) -\left(-\frac{1}{2}) \cdot \frac{1}{(-3)^2}\right) \right],$$

    et

    $$\int_{0}^{3} \frac{1}{x^3} \mathrm{d}x=\lim_{t\rightarrow 0^{+}} \left[ \left( -\frac{1}{2} \cdot \frac{1}{3^2} \droite) -\left(-\frac{1}{2} \cdot \frac{1}{t^2}\droite) \droite].$$

    3. Evalue les limites obtenues.

    Tu peux noter qu'aucune des limites requises n'existe. C'est une information suffisante pour conclure que l'intégrale diverge !

    En fait, si tu trouves qu'aucune des limites n'existe, tu peux t'arrêter là et conclure que l'intégrale diverge. Il n'est pas nécessaire d'évaluer l'autre limite !

    Dans l'exemple ci-dessus, tu as trouvé que la valeur de l'intégrale n'existe pas. Mais qu'est-ce que cela signifie ? Nous parlons de la convergence de l'intégrale.

    Convergence des intégrales impropres

    Tu as vu dans quelles circonstances on peut trouver les valeurs des intégrales impropres. Dans ces cas-là, on dit que les intégrales convergent.

    Supposons que nous ayons une intégrale impropre. Si toutes les limites impliquées dans son évaluation existent, on dit que l'intégrale converge. Si l'une des limites n'existe pas, la valeur de l'intégrale n'existe pas et on dit qu'elle diverge.

    Généralement, nous dirons que l'intégrale diverge ou qu'elle converge vers une certaine valeur.

    Dans nos exemples précédents, tu as trouvé que

    $$\int_{1}^{\infty} \frac{1}{x^2} \mathrm{d}x$$

    converge, et sa valeur est \(1\).

    Tu as aussi trouvé que la valeur de

    $$\int_{0}^{2} \frac{1}{x} \mathrm{d}x$$

    n'existe pas car la limite impliquée dans son évaluation n'existe pas, tu peux donc dire qu'elle diverge.

    Exemples d'évaluation d'intégrales incorrectes

    Voyons d'autres exemples d'intégrales impropres.

    Évalue l'intégrale suivante :

    $$\int_{0}^{2} \frac{1}{x} \mathrm{d}x.$$

    Réponse :

    Commence par remarquer que la fonction \(f(x)=\frac{1}{x}\) n'est pas définie lorsque \(x=0\), tu as donc affaire à une intégrale impropre.1. Ecris l'intégrale impropre comme une limite.Tu dois commencer par écrire l'intégrale impropre comme une limite, donc

    $$\int_{0}^{2} \frac{1}{x} \mathrm{d}x = \lim_{t\rightarrow 0^{+}} \int_{t}^{2} \frac{1}{x} \mathrm{d}x.$$

    2. Évalue l'intégrale obtenue.

    Ensuite, trouve l'antidérivée de la fonction de l'intégrande (tu peux jeter un coup d'œil à nos Intégrales impliquant des fonctions logarithmiques pour te rafraîchir la mémoire).

    $$\int \frac{1}{x} \mathrm{d}x = \ln{x},$$

    et enfin, utilise le théorème fondamental du calcul pour évaluer l'intégrale définie

    $$\int_{0}^{2} \frac{1}{x} \mathrm{d}x = \ln{2} - \ln{2} \ln{2} \ln{2} \l{t{rightarrow 0^{+}} \ln{t}.$$

    3. Evalue la limite obtenue.

    Malheureusement, la dernière limite n'existe pas, donc l'intégrale n'existe pas non plus.

    L'intégrale suivante apparaît assez fréquemment en physique et en statistique. Elle est utilisée pour modéliser les limites d'un comportement exponentiel.

    Évalue l'intégrale suivante :

    $$\int_{0}^{\infty} e^{-x} \N-, \Nmathrm{d}x.$$

    Réponse :

    1. Ecris l'intégrale impropre comme une limite.

    Comme d'habitude, commence par écrire l'intégrale comme une limite, donc

    $$\int_{0}^{\infty} e^{-x} \,\mathrm{d}x=\lim_{b\rightarrow \infty} \int_{0}^{b} e^{-x} \N- \Nmathrm{d}x.$$

    2. Évalue l'intégrale obtenue.

    Trouve ensuite l'antidérivée de la fonction exponentielle

    $$\int e^{-x} \,\mathrm{d}x = -e^{-x} + C.$$

    Enfin, tu peux utiliser le théorème fondamental du calcul pour évaluer l'intégrale définie

    $$\int_{0}^{\infty} e^{-x} \,\mathrm{d}x = \lim_{b\rightarrow \infty} \left[ \left(-e^{-b} \leright) - \left(-e^{0}\leright) \leright].$$

    3. Évalue la limite obtenue.

    La limite ci-dessus de l'exponentielle est égale à \(0\). En outre, tout nombre réel non nul élevé à la puissance de \(0\) est égal à \(1\). Par conséquent

    $$\begin{align} \int_{0}^{\infty} e^{-x} \N-, \Nmathrm{d}x &= 0 - (-1) \N- &=1. \Nend{align}$$

    Tu as besoin de te rappeler comment évaluer des limites comme celle de l'exemple ci-dessus ? Consulte notre article sur les limites !

    Formules pour les intégrales impropres

    Malheureusement, il n'existe pas de formule pour les intégrales impropres. Tu dois identifier le type d'intégrale impropre auquel tu as affaire, puis utiliser la méthode correspondante , comme indiqué ci-dessus dans l'article.

    Intégrales impropres - Points clés

    • Une intégrale impropre est une intégrale définie qui est soit définie sur un intervalle infini, soit où la fonction que tu intègres présente une discontinuité dans l'intervalle.
    • Il n'existe pas de formule pour évaluer les intégrales impropres. Au lieu de cela, il existe des méthodes qui dépendent du type d'intégrale impropre auquel tu as affaire.
    • Si l'intégrale impropre est définie sur un intervalle infini :1. Ecris l'intégrale impropre en utilisant une limite appropriée.2. Évalue l'intégrale définie. Cela se fait généralement à l'aide du théorème fondamental du calcul.3. Évalue la limite résultante.
    • Si l'intégrale impropre présente une discontinuité dans l'intervalle d'intégration :1. Ecris l'intégrale à l'aide d'une limite qui s'approche de la discontinuité. Si la discontinuité se trouve à l'intérieur de l'intervalle d'intégration, tu devras diviser l'intégrale et écrire deux limites.2. Évalue la ou les intégrales résultantes. Cela se fait généralement à l'aide du théorème fondamental du calcul.3. Évalue la ou les limites résultantes.
    • Si toutes les limites impliquées dans l'évaluation de l'intégrale impropre existent, on dit que cette intégrale converge vers une valeur.
    • Si l'une des limites impliquées dans l'évaluation de l'intégrale impropre n'existe pas, on dit que cette intégrale diverge.

    Apprends plus vite avec les 0 fiches sur Intégrales impropres

    Inscris-toi gratuitement pour accéder à toutes nos fiches.

    Intégrales impropres

    Questions fréquemment posées en Intégrales impropres

    Qu'est-ce qu'une intégrale impropre ?
    Une intégrale impropre est une intégrale où l'intervalle d'intégration est infini ou la fonction a une ou plusieurs discontinuités.
    Comment calcule-t-on une intégrale impropre ?
    Pour calculer une intégrale impropre, on remplace l'infini ou les points de discontinuité par des limites et on évalue l'intégrale comme une limite.
    Quelle est la différence entre une intégrale propre et une intégrale impropre ?
    Une intégrale propre a des bornes d'intégration finies et une fonction continue, tandis qu’une intégrale impropre a des bornes infinies ou des discontinuités.
    Quand une intégrale impropre converge-t-elle ?
    Une intégrale impropre converge si la limite utilisée pour définir l'intégrale existe et est finie.
    Sauvegarder l'explication

    Comment tu t'assures que ton contenu est précis et digne de confiance ?

    Chez StudySmarter, tu as créé une plateforme d'apprentissage qui sert des millions d'étudiants. Rencontre les personnes qui travaillent dur pour fournir un contenu basé sur des faits et pour veiller à ce qu'il soit vérifié.

    Processus de création de contenu :
    Lily Hulatt Avatar
    Lily Hulatt

    Spécialiste du contenu numérique

    Lily Hulatt est une spécialiste du contenu numérique avec plus de trois ans d’expérience en stratégie de contenu et en conception de programmes. Elle a obtenu son doctorat en littérature anglaise à l’Université de Durham en 2022, a enseigné au Département d’études anglaises de l’Université de Durham, et a contribué à plusieurs publications. Lily se spécialise en littérature anglaise, langue anglaise, histoire et philosophie.

    Fais connaissance avec Lily
    Processus de contrôle de la qualité du contenu:
    Gabriel Freitas Avatar
    Gabriel Freitas

    Ingénieur en intelligence artificielle

    Gabriel Freitas est un ingénieur en intelligence artificielle possédant une solide expérience en développement logiciel, en algorithmes d’apprentissage automatique et en IA générative, notamment dans les applications des grands modèles de langage (LLM). Diplômé en génie électrique de l’Université de São Paulo, il poursuit actuellement une maîtrise en génie informatique à l’Université de Campinas, avec une spécialisation en apprentissage automatique. Gabriel a un solide bagage en ingénierie logicielle et a travaillé sur des projets impliquant la vision par ordinateur, l’IA embarquée et les applications LLM.

    Fais connaissance avec Gabriel
    Découvre des matériels d'apprentissage avec l'application gratuite StudySmarter
    Lance-toi dans tes études
    1

    À propos de StudySmarter

    StudySmarter est une entreprise de technologie éducative mondialement reconnue, offrant une plateforme d'apprentissage holistique conçue pour les étudiants de tous âges et de tous niveaux éducatifs. Notre plateforme fournit un soutien à l'apprentissage pour une large gamme de sujets, y compris les STEM, les sciences sociales et les langues, et aide également les étudiants à réussir divers tests et examens dans le monde entier, tels que le GCSE, le A Level, le SAT, l'ACT, l'Abitur, et plus encore. Nous proposons une bibliothèque étendue de matériels d'apprentissage, y compris des flashcards interactives, des solutions de manuels scolaires complètes et des explications détaillées. La technologie de pointe et les outils que nous fournissons aident les étudiants à créer leurs propres matériels d'apprentissage. Le contenu de StudySmarter est non seulement vérifié par des experts, mais également régulièrement mis à jour pour garantir l'exactitude et la pertinence.

    En savoir plus
    Équipe éditoriale StudySmarter

    Équipe enseignants Mathématiques

    • Temps de lecture: 13 minutes
    • Vérifié par l'équipe éditoriale StudySmarter
    Sauvegarder l'explication Sauvegarder l'explication
    Sauvegarder l'explication
    Inscris-toi gratuitement

    Inscris-toi gratuitement et commence à réviser !