Dans l'article sur la continuité, nous avons appris les trois critères nécessaires pour qu'une fonction soit continue. Rappelle-toi que ces trois critères doivent être remplis pour qu'il y ait continuité en un point. Examinons un instant le troisième critère : "la limite lorsque x s'approche d'un point doit être égale à la valeur de la fonction en ce point". Que se passe-t-il si, disons, ce critère n'est pas respecté (mais que la limite existe toujours) ? À quoi cela ressemblerait-il ? Nous appelons cela une discontinuité amovible (également connue sous le nom de trou) ! Voyons cela de plus près.
Point de discontinuité amovible
Reprenons le scénario de l'introduction. Que se passe-t-il si la limite existe, mais qu'elle n'est pas égale à la valeur de la fonction ? Rappelle qu'en disant que la limite existe, ce que tu dis en réalité, c'est qu'il s'agit d'un nombre, et non de l'infini.
Si une fonction (f(x)\N) n'est pas continue en \N(x=p\N), et que
\N[lim_{x \rencontre p} f(x)\N]
existe, alors nous disons que la fonction a une discontinuité amovible à \(x=p\).
Ici, nous définissons \(x=p\) comme un point de discontinuité amovible.
Ok, c'est bien, mais à quoi ressemble une discontinuité amovible ? Considère l'image ci-dessous.
Fig. 1. Exemple d'une fonction avec une discontinuité amovible à \(x = p\).
Dans cette image, le graphique présente une discontinuité amovible (alias un trou) et la valeur de la fonction à \(x=p\) est \(4\) au lieu de \(2\) comme tu le voudrais si tu voulais que la fonction soit continue. Si, au lieu de cela, ce trou était rempli par le point situé au-dessus, et que le point flottant était supprimé, la fonction deviendrait continue à \(x=p\). C'est ce qu'on appelle une discontinuité amovible.
Exemple de discontinuité amovible
Examinons quelques fonctions et déterminons si elles présentent des discontinuités amovibles.
Graphique de discontinuité amovible
La fonction \(f(x)=\dfrac{x^2-9}{x-3}\) a-t-elle une discontinuité amovible à \(x=3\) ?
Réponse :
Tout d'abord, remarque que la fonction n'est pas définie à \(x=3\), donc elle n'est pas continue à cet endroit. Si la fonction est continue à \(x=3\), alors elle n'a certainement pas de discontinuité amovible à cet endroit ! Tu dois maintenant vérifier la limite :
\[lim_{x \rencontre 3} f(x)\r].
Puisque la limite de la fonction existe, la discontinuité à \(x=3\) est une discontinuité supprimable. La représentation graphique de la fonction donne : Fig, 1 :
Fig, 1. Cette fonction a un trou à \(x=3\) parce que la limite existe, cependant, \(f(3)\) n'existe pas.
Fig. 2. Exemple d'une fonction avec une discontinuité amovible à \(x = 3\).
Tu peux donc voir qu'il y a un trou dans le graphique.
Discontinuités non amovibles
Si certaines discontinuités peuvent être supprimées, qu'est-ce que cela signifie d'être inamovible ? Si l'on regarde la définition d'une discontinuité inamovible, la partie qui peut mal tourner est la limite qui n'existe pas. Les discontinuités inamovibles font référence à deux autres types principaux de discontinuités : les discontinuités par saut et les discontinuités infinies/asymptotiques. Tu peux en apprendre davantage à ce sujet dans Discontinuité par saut et Continuité sur un intervalle.
Graphique de discontinuité inamovible
En regardant le graphique de la fonction définie par morceaux ci-dessous, y a-t-il un point de discontinuité amovible ou non amovible à \(x=0\) ? S'il est inamovible, s'agit-il d'une discontinuité infinie ?

Fig. 3. Fonction avec une discontinuité inamovible.
Réponse :
En regardant le graphique, tu peux voir que
\[lim_{x \rightarrow 0^-}f(x)=3\]
et que
\[lim_{x \rightarrow 0^+}f(x)=\infty\]
ce qui signifie que la fonction n'est pas continue à \N(x=0\N). En fait, elle a une asymptote verticale à \N(x=0\N). Comme ces deux limites ne sont pas le même nombre, la fonction a une discontinuité inamovible à \(x=0\). Puisque l'une de ces limites est infinie, tu sais que la fonction a une discontinuité infinie à \(x=0\).
Limite de discontinuité amovible
Comment peux-tu savoir si la discontinuité d'une fonction est amovible ou non amovible ? Regarde simplement la limite !
Si la limite de gauche à \(p\) et la limite de droite à \ (p\) sont le même nombre, mais que ce n'est pas la valeur de la fonction à \(p\) ou que la fonction n'a pas de valeur à \(p\), alors il y a une discontinuité amovible.
Si la limite de gauche à \(p\), ou la limite de droite à \(p\), est infinie, alors il y a un point de discontinuité inamovible, et on l'appelle une discontinuité infinie.
Quel type de discontinuité, s'il y en a une, la fonction du graphique présente-t-elle à \(p\) ?

Fig. 4. Cette fonction a une discontinuité amovible à \(x=p\) parce que la limite est définie, cependant, \( f(p)\) n'existe pas.
Réponse :
Tu peux voir en regardant le graphique que la fonction n'est même pas définie à \(p\N). Cependant, la limite de gauche à \N(p\N) et la limite de droite à \N(p\N) sont les mêmes, donc la fonction a un point de discontinuité amovible à \N(p\N). Intuitivement, elle a une discontinuité amovible parce que si tu remplissais simplement le trou dans le graphique, la fonction serait continue à \N(p\N)}puis, en d'autres termes, en supprimant la discontinuité à \N(p\N)}pour que la fonction soit continue. En d'autres termes, pour supprimer la discontinuité, il suffit de changer un seul point du graphique.
Quel type de discontinuité, s'il y en a une, la fonction du graphique présente-t-elle à \(p\) ?

Fig. 5. Cette fonction est définie partout.
Contrairement à l'exemple précédent, tu peux voir en regardant le graphique que la fonction est définie à \(p\). Cependant, la limite de gauche à \N(p\N) et la limite de droite à \N(p\N) sont les mêmes, donc la fonction a un point de discontinuité amovible à \N(p\N). Intuitivement, elle a une discontinuité amovible parce que si tu modifiais simplement la fonction pour qu'elle ne remplisse pas le trou, elle serait continue à \N(p\N).
En regardant le graphique de la fonction définie par morceaux ci-dessous, est-ce qu'il présente une discontinuité amovible, inamovible, ou aucune des deux ?

Fig. 6. Graphique d'une fonction avec une discontinuité à \(x=2\), StudySmarter Original.
Réponse :
Cette fonction n'est clairement pas continue en \N(2\N) parce que la limite de gauche en \N(2\N) n'est pas la même que la limite de droite en \N(2\N). En fait
\N-[lim_{x \Ndroite 2^-}f(x)=4\N]
et
\N[lim_{x \Nrightarrow 2^+}f(x)=1\N] .
Nous savons donc que
- la limite de gauche à \N(2\N) et la limite de droite à \N(2\N) n'ont pas la même valeur
- la limite de gauche n'est pas infinie, et la limite de droite n'est pas non plus infinie à \(2\),
Par conséquent, cette fonction a une discontinuité inamovible à \(2\), mais ce n'est pas une discontinuité infinie.
Dans l'exemple ci-dessus, la fonction présente un saut de discontinuité à \(x=2\). Pour plus d'informations sur les cas où cela se produit, voir Discontinuité par saut.
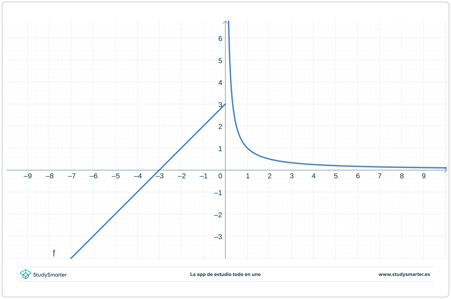
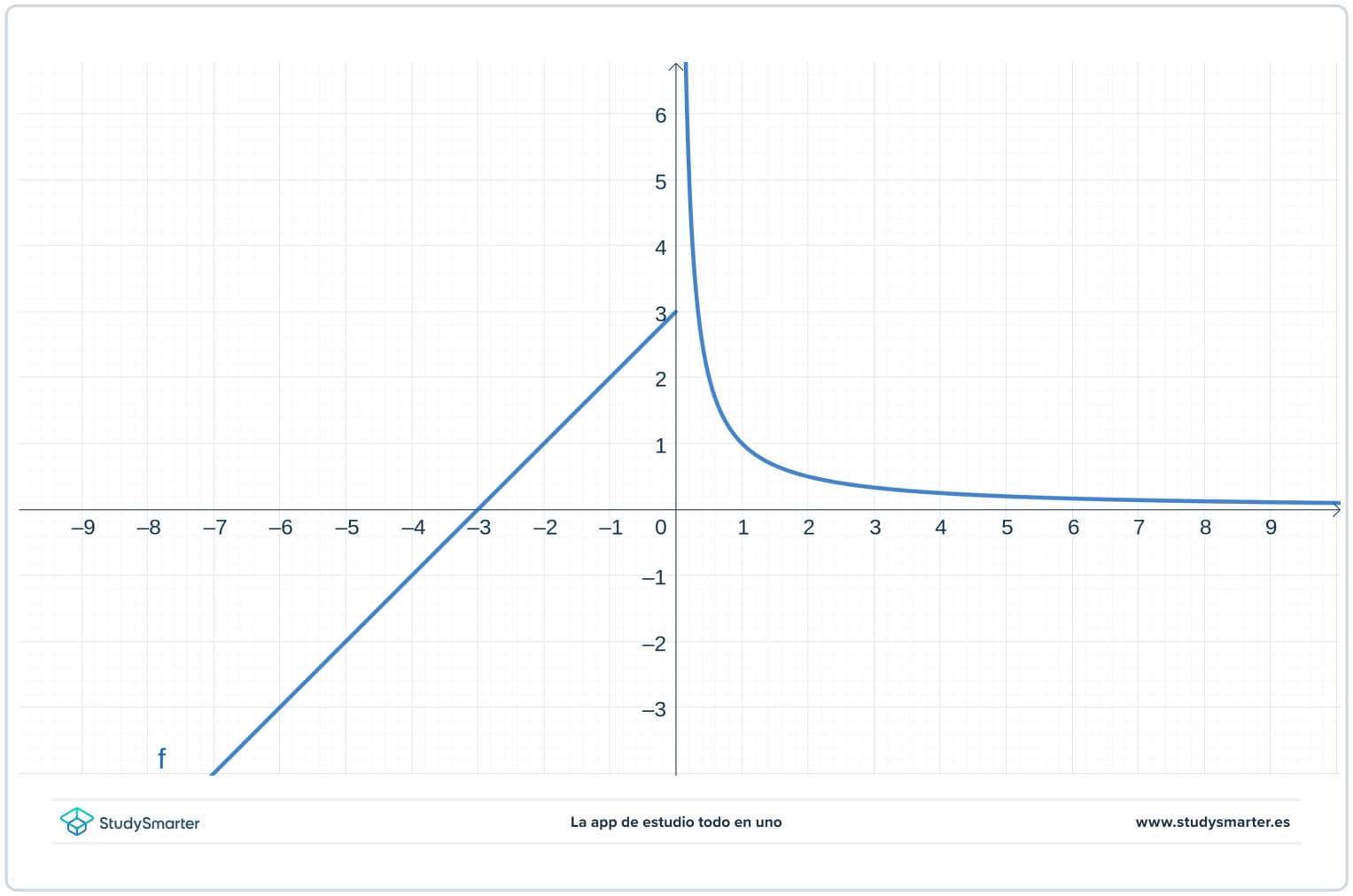
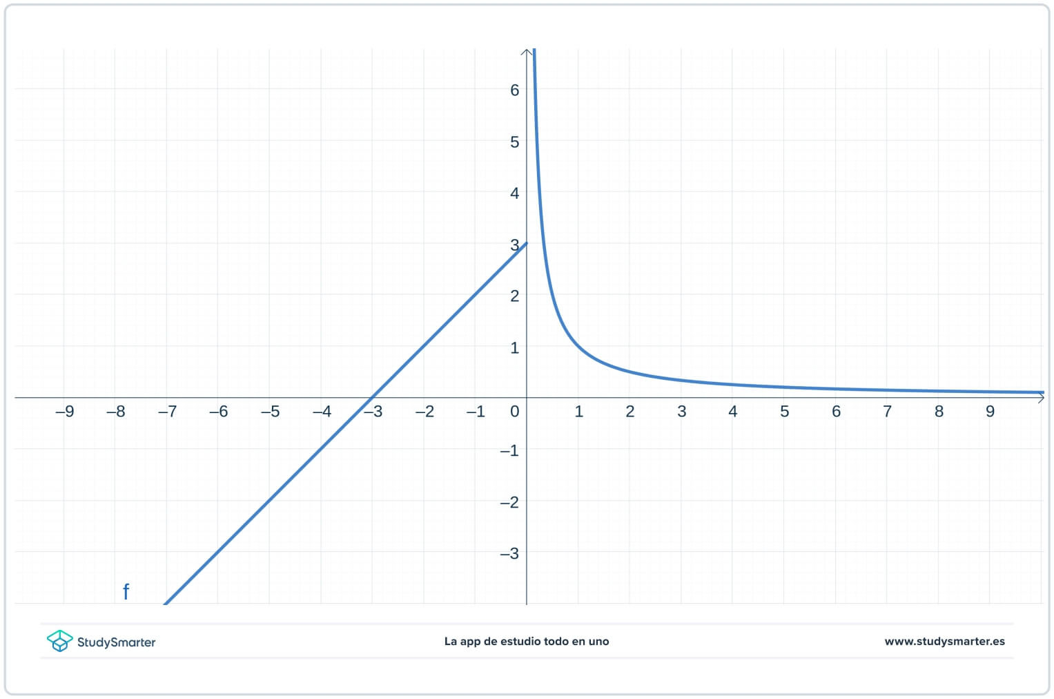
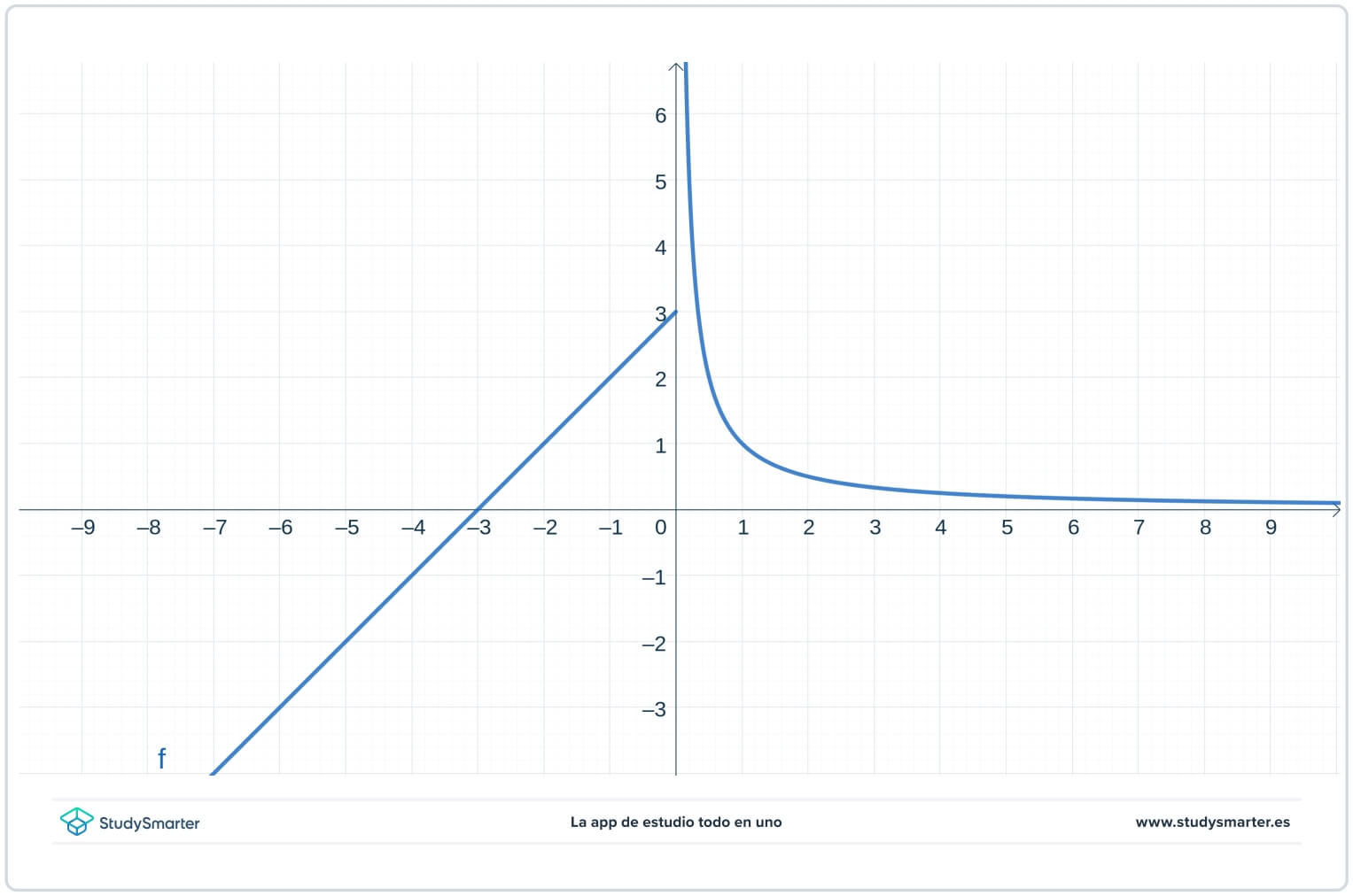
En regardant le graphique ci-dessous, la fonction a-t-elle un point de discontinuité amovible ou non amovible à \(x=2\) ?

Fig. 7. Graphique d'une fonction avec un point de discontinuité à \(x = 2\).
Réponse :
Cette fonction a une asymptote verticale à \(x=2\). En effet
\[lim_{x \rightarrow 2^-}f(x)= -\infty\]
et
\N-[lim_{x \rightarrow 2^+}f(x)= \Ninfty\N].
Cette fonction a donc un point de discontinuité inamovible. On l'appelle discontinuité infinie car l'une des limites est infinie.
Discontinuité amovible - Principaux enseignements
- Si une fonction n'est pas continue en un point, on dit "qu'elle a un point de discontinuité en ce point".
- Si une fonction n'est pas continue en un point, on dit qu'elle a une discontinuité amovible en ce point si la limite en ce point existe.
- Si la fonction a une discontinuité amovible en un point, on dit qu'elle a un point de discontinuité amovible (ou un trou).