Limites unilatérales

Lorsque tu traverses la rue, tu regardes à gauche et à droite pour t'assurer qu'il n'y a pas de problème avant de traverser. Lorsque tu trouves les limites d'une fonction, tu fais la même chose, tu regardes à gauche et à droite !

C'est parti

Des millions de fiches spécialement conçues pour étudier facilement

Inscris-toi gratuitement

Review generated flashcards

Inscris-toi gratuitement
Tu as atteint la limite quotidienne de l'IA

Commence à apprendre ou crée tes propres flashcards d'IA

Équipe éditoriale StudySmarter

Équipe enseignants Limites unilatérales

  • Temps de lecture: 13 minutes
  • Vérifié par l'équipe éditoriale StudySmarter
Sauvegarder l'explication Sauvegarder l'explication
Inscris-toi gratuitement pour sauvegarder, modifier et créer des fiches.
Sauvegarder l'explication Sauvegarder l'explication
  • Contenu vérifié
  • Publié le: 18.06.2024
  • Temps de lecture: 13 min
Tables des matières
Tables des matières
  • Contenu vérifié
  • Dernière mise à jour: 01.01.1970
  • Temps de lecture: 13 min
  • Processus de création de contenu conçu par
    Lily Hulatt Avatar
  • de contenu vérifiées par
    Gabriel Freitas Avatar
  • Qualité du contenu vérifiée par
    Gabriel Freitas Avatar
Inscris-toi gratuitement pour sauvegarder, modifier et créer des fiches.
Sauvegarder l'explication Sauvegarder l'explication

Sauter à un chapitre clé

    Limites unilatérales en calcul

    En général, nous appelons ces limitesa> la limite de gauche ou la limite de droite parce que tu regardes spécifiquement à gauche ou à droite d'un point précis.

    Pour un examen de la définition de la limite d'une fonction, voir Limites d'une fonction.

    Définition des limites unilatérales

    Comment pouvons-nous définir formellement les "limites unilatérales" en calcul ? Jetons un coup d'œil !

    Nous disons que \N(L\N) est la limite gauche d'une fonction \N(f(x)\N) à \N(a\N) si nous pouvons obtenir \N(f(x)\N aussi près de \N(L\N) que nous le voulons en prenant \N(x\N) du côté gauche de \N(a\N), et près de \N(a\N) mais pas égal à \N(a\N). Elle s'écrit

    \[lim_{x \rightarrow a^-}f(x)\]

    .

    On l'appelle aussi la limite à gauche d'une fonction. Tu peux aussi regarder la limite à partir de la droite d'une fonction.

    On dit que \N(L\N) est la limite droite d'une fonction \N(f(x)\N) à \N(a\N) si nous pouvons obtenir \N(f(x)\N aussi près de \N(L\N) que nous le voulons en prenant \N(x\N) à droite de \N(a\N), et près de \N(a\N) mais pas égal à \N(a\N). Elle s'écrit

    \Lim_{x \N-} f(x) \N]

    Ce qui est bien, c'est que si la limite de la fonction existe, alors la limite de gauche et celle de droite existent toutes les deux et sont identiques.

    Chacun des résultats ci-dessous découle de la définition de la limite, de la limite de gauche et de la limite de droite. Ils sont une conséquence immédiate des définitions et n'ont donc pas besoin d'une preuve sophistiquée.

    1. Suppose que

    \[lim_{x \rightarrow a} f(x)=L\]

    où \(L\) est un nombre réel. Alors

    \N-[lim_{x \rightarrow a^+} f(x)=L\N]

    et

    \N-[lim_{x \rightarrow a^-} f(x)=L\N]

    2. De même, si

    \N- lim_{x \Nrightarrow a^+} f(x)=L= lim_{x \Nrightarrow a^-} f(x)\N]

    alors

    \N-[lim_{x \Nrightarrow a} f(x)=L\N].

    Note que cela te donne un moyen pratique de savoir si la limite n'existe pas, en utilisant simplement la contrapositive de la partie 2.

    3. Si

    \[lim_{x \rightarrow a^+} f(x) \neq lim_{x \rightarrow a^-} f(x)\]

    alors

    \N-[lim_{x \Nrightarrow a} f(x)\N]

    n'existe pas.

    Tu peux lire \N(x \Nflèche droite a^+\N) comme "\N(x\N) s'approchant de \N(a\N) par la droite", et \N(x \Nflèche droite a^-\N) comme "\N(x\N) s'approchant de \N(a\Ngauche) par la gauche".

    Trouver des limites unilatérales

    Alors, comment déterminer la limite gauche ou droite d'une fonction ? Tu peux déterminer les limites unilatérales en observant :

    1. le graphique d'une fonction, OU

    2. Un tableau des valeurs de la fonction

    Prenons un exemple précis.

    En utilisant la fonction

    \[ f(x) \Biggl\{ \begin{matrix}1 x< 2 \\3 x \geq 2\end{matrix} \]

    trouver

    \N-[lim_{x \rencontre 2^-} f(x)\N]

    et

    \N- [lim_{x \N-rightarrowrow 2^+} f(x)\N]

    Qu'est-ce que cela t'apprend sur

    \N- [lim_{x \Nrightarrow 2} f(x)?\N]

    Réponse :

    Tout d'abord, examinons la limite à partir de la gauche. Dans le graphique ci-dessous, tu peux voir la fonction, ainsi qu'un tableau des valeurs de la fonction qui se rapprochent de \(x=2\) à partir du côté gauche, et les points du tableau tracés sur le graphique.

    \(x\)\N(f(x)\N)
    11
    1.51
    1.751
    1.91
    1.951
    1.991

    Tableau 1. Données pour l'exemple limite.

    Limites unilatérales limite de gauche à l'aide d'un tableau graphique StudySmarterFig. 1. Limite de gauche à l'aide d'un graphique et d'un tableau.

    Comme tu peux le voir sur le graphique ci-dessus, lorsque \(x \rightarrow 2^-\), toutes les valeurs de la fonction sont égales à \(1\). Par conséquent

    \N-[lim_{x \rightarrow 2^-} f(x)=1\N]

    Maintenant, regardons plutôt la limite à partir de la droite. Dans le graphique ci-dessous, tu peux voir la fonction, un tableau des valeurs de la fonction qui se rapprochent de \(x=2\) à partir du côté droit, et les points du tableau représentés sur le graphique.

    \(x\)\N(f(x)\N)
    33
    2.53
    2.253
    2.13
    2.053
    2.013

    Tableau 2. Données pour la fonction d'exemple.

    Limites unilatérales limite de droite à l'aide d'un tableau graphique StudySmarterFig. 2. Limite d'une fonction à partir de la droite à l'aide d'un graphique et d'un tableau.

    Comme tu peux le voir sur le graphique ci-dessus, à \(x \rightarrow 2^+\), toutes les valeurs de la fonction sont égales à \(3\). Par conséquent

    \N-[lim_{x \rightarrow 2^-} f(x)=3\N]

    Enfin, puisque tu sais que

    \N- lim_{x \Nrightarrow 2^-} f(x) \Nneq lim_{x \Nrightarrow 2^+} f(x)\N]

    tu sais aussi que

    \N-[lim_{x \Nrightarrowrow 2} f(x)\N]

    n'existe pas.

    Exemples de limites unilatérales

    Voyons d'autres exemples de détermination de limites unilatérales.

    Considère la fonction

    \[f(x)= \dfrac{|x|}{x}\]

    Trouve les limites à gauche et à droite de \(x=0\).

    Réponse :

    Plutôt que de considérer cette fonction comme une fonction à valeur absolue, il peut être utile de réfléchir aux valeurs possibles de \(x\). Examinons les cas possibles de \(3\) ici :

    1. Lorsque \(x=0\), cette fonction n'est pas définie.
    2. Lorsque \N(x\N) est négatif, \N(f(x)=-1\N).
    3. Lorsque \(x\) est positif, \(f(x)=1\).

    Tu peux donc considérer cela comme une fonction définie par morceaux :

    \[ f(x) \NBiggl\N{ \Ncommencement{matrice}-1, x< 0 \N1, x > 0\Nfin{matrice} \N].

    Cet exemple est très similaire à l'exemple précédent. En effet

    \[lim_{x \rightarrow 0^-+ f(x)=1\]

    et

    \N- lim_{x \Nrightarrow 0^-} f(x)=-1\N]

    Pour la fonction de l'image ci-dessous, détermine les éléments suivants (s'ils existent) :

    1. \N(f(1)\N), \N(f(3)\N), et \N(f(4)\N).

    2. la limite de gauche à \N(x=-3\N), \N(x=1\N), \N(x=3\N), et \N(x=4\N).

    3. la limite de droite à \(x=-3\), \(x=1\), \(x=3\), et \(x=4\).

    4. la limite à \(x=-3\), \(x=1\), \(x=3\), et \(x=4\).

    Limites unilatérales trouver la limite de gauche et de droite à l'aide d'un graphique StudySmarterFig. 3. Trouver des limites unilatérales à partir d'un graphique.

    Réponse :

    1. Cette partie consiste simplement à rechercher les valeurs de la fonction à ces points. Donc, en regardant le graphique, \N(f(1)=2\N), \N(f(3)=4\N) et \N(f(4)=1\N).

    2. Rappelle-toi que lorsque tu trouves la limite à partir de la gauche, tu ne regardes que les points du graphique qui se trouvent à gauche du point qui t'intéresse. Donc, en utilisant le graphique,

    \[lim_{x \rightarrow -3^-} f(x)=3\]

    \N- [lim_{x \Nrightarrow 1^-} f(x)=-5\N]

    [lim_{x \N-rightarrow 3^-} f(x)=4\N]

    [lim_{x \N-rightarrow 4^-} f(x)=4\N]

    3. Lorsque tu trouves la limite par la droite, tu ne regardes que les points du graphique qui sont à droite du point qui t'intéresse. Donc, en utilisant le graphique :

    \[lim_{x \rightarrow -3^+} f(x)=3\]

    \N-[lim_{x \Nrightarrow 1^+} f(x)=2\N]

    \N- [lim_{x \Nrightarrow 3^+} f(x)=3\N]

    \N- [lim_{x \Nrightarrow 4^+} f(x)=4\N]

    4. La limite n'existera que dans les cas où la limite de gauche et la limite de droite sont identiques. Sinon, la limite n'existe pas. En regardant les informations des parties 2 et 3 ci-dessus, cela signifie que la limite existe à \(x=-3\) et à \(x=4\). Tu peux aussi dire que

    \[lim_{x \rightarrow -3} f(x)=3\]

    et

    \N- [lim_{x \N-rightarrow 4} f(x)=4\N].

    Remarque que le fait que la limite existe est indépendant de la valeur réelle de la fonction au point, ou même si la fonction est définie à cet endroit.

    En outre, la limite n'existe pas à \(x=1\) et \(x=3\).

    Limites unilatérales et asymptotes verticales

    Il reste une question à laquelle il faut encore répondre. Comment évaluer les limites gauche et droite d'une fonction à une asymptote verticale ? Le processus pour trouver les limites de gauche et de droite lorsqu'il y a une asymptote verticale est exactement le même qu'à n'importe quel autre point. Prenons un exemple.

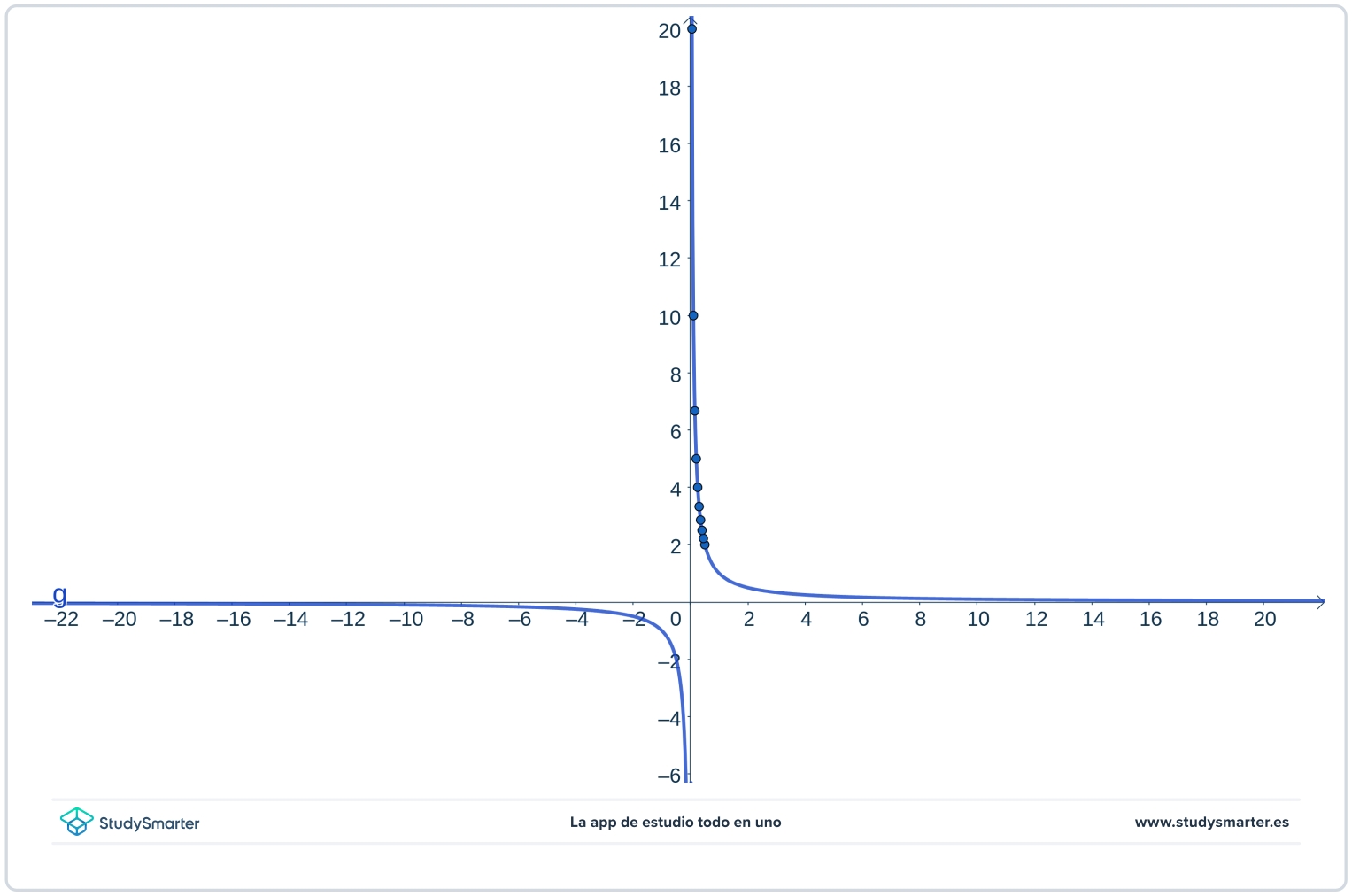
    Considère la fonction

    \[f(x)=\dfrac{1}{x}\]

    Trouve

    \N- Lim_{x \rencontre 0^+} f(x)\N]

    et

    \N-[lim_{x \rightarrow 0^-} f(x)\N]

    Réponse :

    Tout d'abord, réfléchissons à la limite de gauche. Regarde le graphique et le tableau ci-dessous.

    \(x\)\N(f(x)\N)
    -0.5-2
    -0.45-2.22
    -0.4-2.2
    -0.35-2.86
    -0.3-3.33
    -0.25-4
    -0.2-5
    -0.15-6.67
    -0.1-10
    -0.05-20

    Tableau 3. Données pour l'exemple limite.

    Limites unilatérales limite de gauche à l'asymptote verticale graphique StudySmarterFig. 4. Limite de gauche à une asymptote verticale.

    Comme tu peux le voir sur le graphique et dans le tableau, lorsque tu prends des valeurs de \(x\N) qui se rapprochent de plus en plus de \N(x=0\N) à partir de la gauche, les valeurs de la fonction s'éloignent de plus en plus de l'axe \N(x\N) et sont toutes négatives. Tu dirais donc qu'en fait, il n'y a pas de nombre qui soit la limite à partir de la gauche. Lorsque cela se produit, tu peux dire que "la limite de gauche diverge vers l'infini négatif", et l'écrire comme suit

    \[lim_{x \rightarrow o^-} \dfrac{1}{x}=-\infty\].

    Cela peut sembler étrange étant donné que les limites doivent généralement être des nombres, mais cette notation indique simplement que les valeurs de la fonction à gauche de zéro, mais proches de zéro, peuvent avoir une valeur négative aussi grande que tu le souhaites.

    Lorsque nous disons que la limite est égale à \(+ \infty\) ou \(-\infty\), c'est juste une autre façon de dire que la limite n'existe pas, en étant juste un peu plus précis !

    Réfléchissons maintenant à la limite de droite. Regarde le graphique et le tableau ci-dessous.

    \(x\)\N(f(x)\N)
    0.52
    0.452.22
    0.42.5
    0.352.86
    0.33.33
    0.254
    0.25
    0.156.67
    0.110
    0.0520

    Tableau 4. Points de données pour l'exemple de la limite latérale.

    Limites unilatérales limite de droite à l'asymptote verticale graphique tableau StudySmarterFig. 5. La limite à droite d'une asymptote verticale.

    Comme tu peux le voir dans le graphique et le tableau, lorsque tu prends des valeurs de \(x\N) qui se rapprochent de plus en plus de \N (x=0\N) à partir de la droite, les valeurs de la fonction s'éloignent de plus en plus de l'axe \N (x\N) et sont toutes positives. Tu dirais donc qu'en fait, il n'y a pas de nombre qui soit la limite à partir de la droite. Lorsque cela se produit, tu peux dire que "la limite de la droite diverge vers l'infini", et l'écrire comme suit

    \[lim_{x \rightarrow 0^+} \dfrac{1}{x}=\infty\].

    Cela peut sembler étrange étant donné que les limites doivent généralement être des nombres, mais cette notation indique simplement que les valeurs de la fonction à gauche de zéro, mais proches de zéro, peuvent être des nombres positifs aussi grands que tu le souhaites.

    Si, au lieu des asymptotes verticales, tu t'intéresses à la limite comme \(x \rightarrow \pm \infty\), également connue sous le nom de limites à l'infini, voir Limites à l'infini.

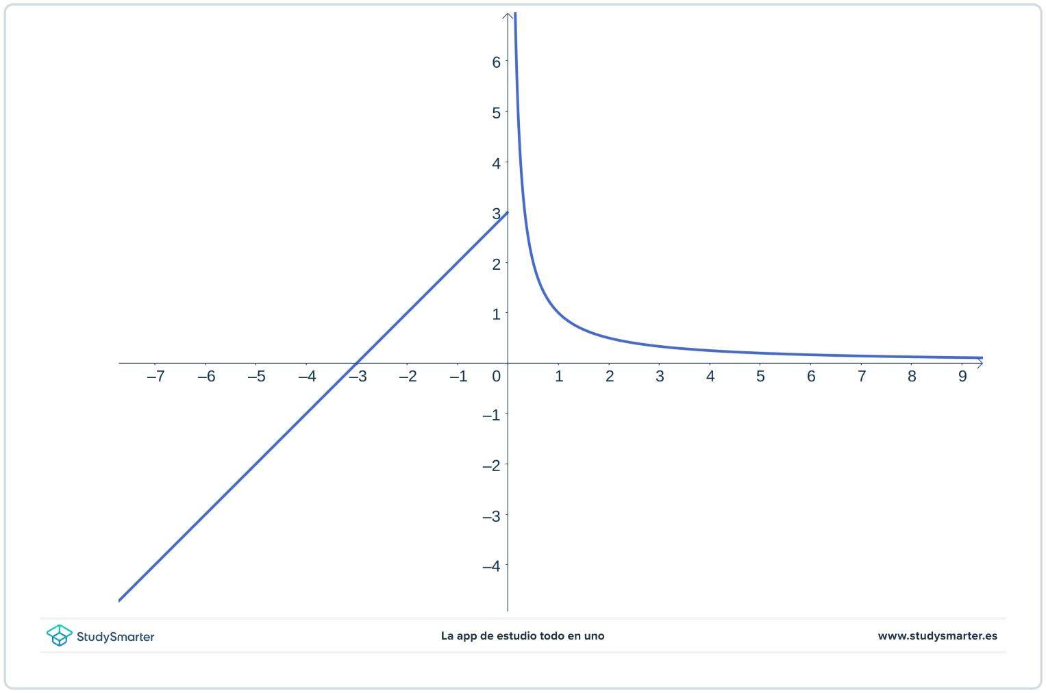
    Il peut y avoir des cas où la limite d'un côté existe, mais n'existe pas de l'autre côté. C'est ce que nous voyons dans l'exemple ci-dessous.

    Pour la fonction du graphique ci-dessous, trouve

    \(lim_{x \rightarrow 0^+}\) et \(lim_{x \rightarrow 0^-}\).

    Limites unilatérales La limite d'un côté existe mais la limite de l'autre côté est infinie StudySmarterFig. 6. La limite d'un côté existe mais la limite de l'autre côté n'existe pas.

    Sur l'image ci-dessus, nous voyons qu'à gauche de \N(x=0\N), les valeurs de la fonction se rapprochent de plus en plus de \N(3\N) à mesure que \N(x \Ndroite 0^-\N). Cela signifie que :

    \[lim_{x \rightarrow 0^-} f(x)=3\N].

    Cependant, si tu regardes les valeurs à droite de \N(x=0\N), les valeurs de la fonction deviennent de plus en plus grandes à mesure que \N(x \Nflèche droite 0^+\N). Cela signifie que :

    \[lim_{x \rightarrow 0^+} f(x)=\infty\N]

    En regardant les exemples ci-dessus, tu peux tirer quelques conclusions utiles :

    1. Si

    \N(lim_{x \Nrightarrow a^+} f(x)= \Npm \Nfty\N) ou si \N(lim_{x \Nrightarrow a^-} f(x)= \Npm \Nfty\N)

    alors la fonction a une asymptote verticale à \N(x=a\N).

    2. Si la fonction a une asymptote verticale à \N(x=a\N) alors soit

    \N- (lim_{x \Nrightarrow a^+} f(x)= \Npm \Nfty\N) ou \N- (lim_{x \Nrightarrow a^-} f(x)= \Npm \Nfty\N)

    Limites unilatérales - Principaux enseignements

    • On dit que \(L\) est la limite gauche d'une fonction \(f(x)\) à \(a\) si nous pouvons obtenir \(f(x)\) aussi près de \(L\) que nous le souhaitons en prenant \(x\) du côté gauche de \(a\), et près de \(a\) mais pas égal à \(a\). Il s'écrit

      \[lim_{x \rightarrow a^-} f(x)\N]

      .

    • Nous disons que \NL\N est la limite droite d'une fonction \N(f(x)\N) à \N(a\N) si nous pouvons obtenir aussi près de \N (L\N) que nous le souhaitons en prenant \N(x\N) à droite de \N(a\N), et près de \N(a\N) mais pas égal à \N(a\N). Il s'écrit

      \N- Lim_{x \Ndroite a^+} f(x)\N]

    • Supposons que \N(lim_{x \Nrightarrow a} f(x)=L\N) où \N(L\N) est un nombre réel. Alors :\N-(lim_{x \N-rightarrow a^+} f(x)=L\N) et \N-(lim_{x \N-rightarrow a^-} f(x)\N)

    • Si \N-(lim_{x \N-rightarrow a^+} f(x)=L=lim_{x \N-rightarrow a^-} f(x)\N) alors :

      \N-[lim_{x \Nrightarrow a} f(x)=L\N].

    • Si \N-(lim_{x \N-rightarrow a^+} f(x) \Nneq lim_{x \N-} f(x)\N) alors

      \N-(lim_{x \Nrightarrow a} f(x)\N) n'existe pas.

    • Si \N- lim_{x \Nrightarrow a^+} f(x) = \Npm \Nfty\N ou si \N- lim_{x \Nrightarrow a^-} f(x)= \Npm \Nfty\N

      alors la fonction a une asymptote verticale à \N(x=a\N).

    • Si la fonction a une asymptote verticale à \N(x=a\N) alors soit :

      \N-(lim_{x \Nrightarrow a^+} f(x) = \Npm \Ninfty\N) ou \N-(lim_{x \Nrightarrow a^-} f(x)= \Npm \Nfty\N).

    Apprends plus vite avec les 0 fiches sur Limites unilatérales

    Inscris-toi gratuitement pour accéder à toutes nos fiches.

    Limites unilatérales

    Questions fréquemment posées en Limites unilatérales

    Qu'est-ce qu'une limite unilatérale?
    Une limite unilatérale est la valeur qu'une fonction approche en se rapprochant d'un point spécifique d'un seul côté, soit à partir de la gauche (limite à gauche) ou à partir de la droite (limite à droite).
    Comment calculer une limite unilatérale?
    Pour calculer une limite unilatérale, évaluez la fonction en se rapprochant du point spécifié uniquement depuis la gauche ou la droite, en utilisant des valeurs de plus en plus proches du point d'intérêt.
    Quelle est la différence entre une limite unilatérale et une limite bidirectionnelle?
    Une limite unilatérale considère la valeur approchée d'un seul côté (gauche ou droite), alors qu'une limite bidirectionnelle considère la valeur des deux côtés simultanément pour voir si elles convergent vers la même valeur.
    Quand utilise-t-on une limite unilatérale?
    On utilise des limites unilatérales lorsqu'une fonction n'est pas définie de manière continue des deux côtés d'un point ou lors de l'analyse des comportements asymptotiques.
    Sauvegarder l'explication

    Comment tu t'assures que ton contenu est précis et digne de confiance ?

    Chez StudySmarter, tu as créé une plateforme d'apprentissage qui sert des millions d'étudiants. Rencontre les personnes qui travaillent dur pour fournir un contenu basé sur des faits et pour veiller à ce qu'il soit vérifié.

    Processus de création de contenu :
    Lily Hulatt Avatar
    Lily Hulatt

    Spécialiste du contenu numérique

    Lily Hulatt est une spécialiste du contenu numérique avec plus de trois ans d’expérience en stratégie de contenu et en conception de programmes. Elle a obtenu son doctorat en littérature anglaise à l’Université de Durham en 2022, a enseigné au Département d’études anglaises de l’Université de Durham, et a contribué à plusieurs publications. Lily se spécialise en littérature anglaise, langue anglaise, histoire et philosophie.

    Fais connaissance avec Lily
    Processus de contrôle de la qualité du contenu:
    Gabriel Freitas Avatar
    Gabriel Freitas

    Ingénieur en intelligence artificielle

    Gabriel Freitas est un ingénieur en intelligence artificielle possédant une solide expérience en développement logiciel, en algorithmes d’apprentissage automatique et en IA générative, notamment dans les applications des grands modèles de langage (LLM). Diplômé en génie électrique de l’Université de São Paulo, il poursuit actuellement une maîtrise en génie informatique à l’Université de Campinas, avec une spécialisation en apprentissage automatique. Gabriel a un solide bagage en ingénierie logicielle et a travaillé sur des projets impliquant la vision par ordinateur, l’IA embarquée et les applications LLM.

    Fais connaissance avec Gabriel
    Découvre des matériels d'apprentissage avec l'application gratuite StudySmarter
    Lance-toi dans tes études
    1

    À propos de StudySmarter

    StudySmarter est une entreprise de technologie éducative mondialement reconnue, offrant une plateforme d'apprentissage holistique conçue pour les étudiants de tous âges et de tous niveaux éducatifs. Notre plateforme fournit un soutien à l'apprentissage pour une large gamme de sujets, y compris les STEM, les sciences sociales et les langues, et aide également les étudiants à réussir divers tests et examens dans le monde entier, tels que le GCSE, le A Level, le SAT, l'ACT, l'Abitur, et plus encore. Nous proposons une bibliothèque étendue de matériels d'apprentissage, y compris des flashcards interactives, des solutions de manuels scolaires complètes et des explications détaillées. La technologie de pointe et les outils que nous fournissons aident les étudiants à créer leurs propres matériels d'apprentissage. Le contenu de StudySmarter est non seulement vérifié par des experts, mais également régulièrement mis à jour pour garantir l'exactitude et la pertinence.

    En savoir plus
    Équipe éditoriale StudySmarter

    Équipe enseignants Mathématiques

    • Temps de lecture: 13 minutes
    • Vérifié par l'équipe éditoriale StudySmarter
    Sauvegarder l'explication Sauvegarder l'explication
    Sauvegarder l'explication
    Inscris-toi gratuitement

    Inscris-toi gratuitement et commence à réviser !