Évaluation des limites à l'infini
Sais-tu qu'il y a plus d'une façon de penser aux limites infinies et de les évaluer ? L'une d'entre elles est ce qui se passe lorsque tu obtiens une asymptote verticalea>. Pour plus d'informations sur ce type de limite infinie, voir Limites unilatéralesa> et Limitesa> infinies.
Un autre type de limite infinie consiste à réfléchir à ce qui arrive aux valeurs de la fonction de \(f(x)\) lorsque \(x\) devient très grande, et c'est ce qui est exploré ici à l'aide de la définition, de règles utiles et de graphiques. Lis donc la suite pour savoir comment évaluer les limites à l'infini !
Définition de la limite à l'infini
Rappelle-toi que le symbole \(\infty\) ne représente pas un nombre réel. Il décrit plutôt le comportement des valeurs d'une fonction qui deviennent de plus en plus grandes, tout comme \(-\infty\) décrit le comportement d'une fonction qui devient de plus en plus négative. Ainsi, si tu vois
\[\lim_{x\to\infty}f(x)=L,\]
ne crois pas que cela signifie que tu peux introduire \(\infty\) comme valeur de la fonction ! Écrire la limite de cette façon n'est qu'un raccourci pour te donner une meilleure idée de ce que fait la fonction. Voyons d'abord la définition, puis un exemple.
On dit qu'une fonction (f(x)\N) a une limite à l'infini s'il existe un nombre réel \N(L\N) tel que pour tout \N(\epsilon > 0\N) , il existe \N(N>0\N) tel que
\[|f(x)-L|<\epsilon\]
pour tout \N(x>N\N), et nous écrivons
\[\lim_{x\to\infty} f(x)=L.\N]
Voyons un exemple.
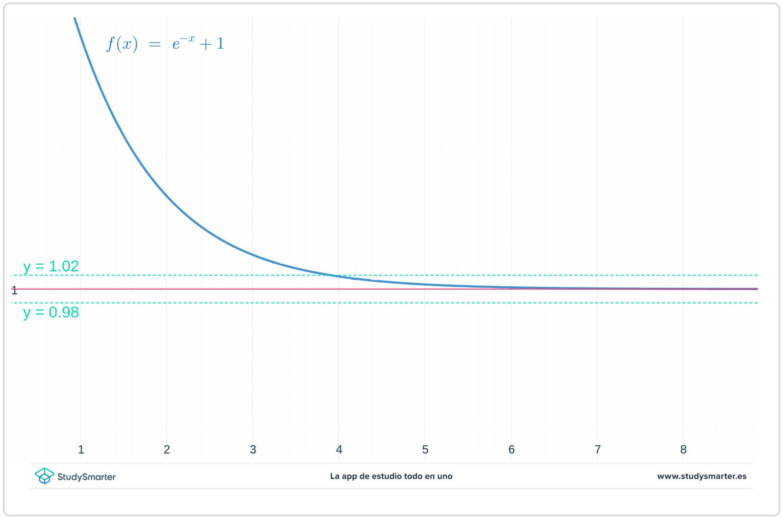
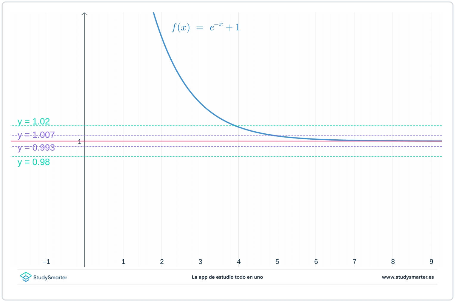
Considère la fonction \N(f(x)=e^{-x}+1,\N) et décide si
\[\lim_{x\to\infty}f(x)=L \]
existe.
Solution
Tout d'abord, examinons le graphique de la fonction. D'après ce que tu sais des fonctions exponentielles (voir Fonctions exponentielles), un bon candidat pour la limite est \(L=1\). Sur le même graphique que la fonction, représente donc les droites \N(y=1\N), \N(y=1-\epsilon=0,98\N) et \N(y=1+\epsilon=1,02\N). Bien que tu ne connaisses pas exactement la valeur de \(\epsilon\), tu sais qu'il s'agit d'un petit nombre positif.

Fig. 1. Représentation graphique d'une fonction pour trouver la limite à l'infini
Tu peux donc voir que pour le graphique ci-dessus, tant que \(x>4\) le graphique de \(f(x)\)est coincé entre les lignes \(y=1-\epsilon\) et \(y=1+\epsilon\). Mais que se passe-t-il si tu as une valeur encore plus petite de \(\epsilon\) ?
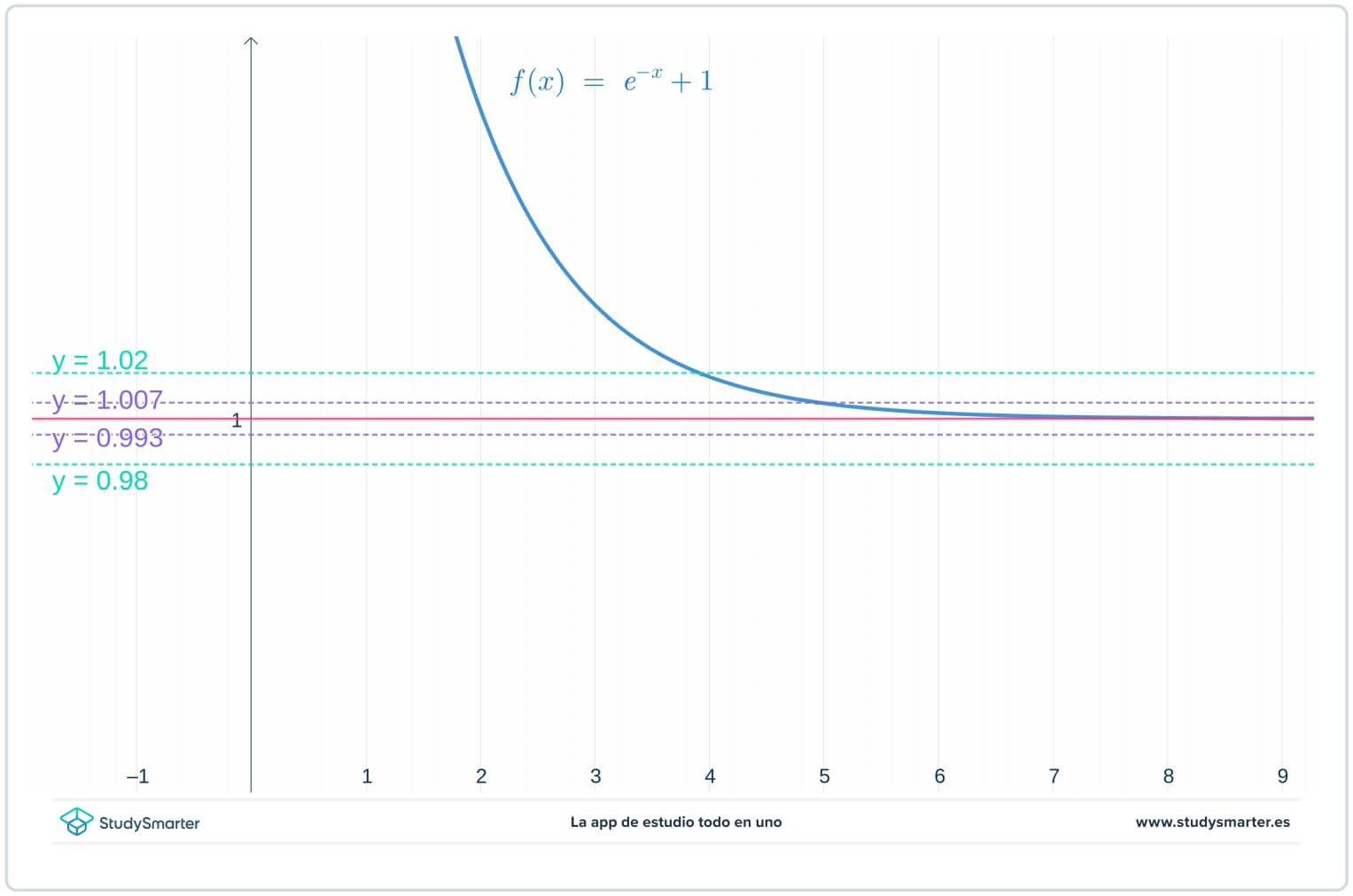
Dans le graphique ci-dessous, les lignes originales sont là, mais il y a maintenant deux lignes supplémentaires, \(y=1-\epsilon_{1}=0,0993\) et \(y=1+\epsilon_{1}=1,007\), où \(\epsilon_{1}\) est un nombre plus petit que \(\epsilon\).

Fig. 2. Graphique avec une valeur d'epsilon plus petite pour trouver la limite à l'infini
Comme tu peux le voir sur le graphique ci-dessus, avec cette plus petite valeur de \(\epsilon_{1}\), tu dois prendre \(x>7\) pour t'assurer que la fonction est piégée entre \(y=1-\epsilon_{1}\) et \ (y=1+\epsilon_{1}.\).
En général, la valeur de \(N\) que tu trouves dépend à la fois de la fonction et de la valeur de \(\epsilon\), et au fur et à mesure que tu prends des valeurs de \(\epsilon\) plus petites, tu auras besoin d'une valeur plus grande pour \(N\).
Ainsi, la limite lorsque \(x\) s'approche de l'infini dans cette fonction existe bel et bien,
\[\lim_{x\to\infty}e^{-x}+1=1.\]
Il se peut que la limite de \(xto\infty\) n'existe pas.
Considère la fonction \(f(x)=\sin x\) . Est-ce que
\[\lim_{x\to\infty}f(x)\]
existe-t-elle ?
Solution
La première chose à faire pour trouver la limite est de choisir un candidat pour la valeur de la limite \(L\). Mais si tu essaies de choisir une valeur pour \N(L\N), disons \N(L=1\N), tu trouveras toujours des valeurs de fonction pour \N(f(x)=\sin (x)\N) qui sont à plus de \N(\Ndfrac{1}{2}\N) de \N(L\N) parce que la fonction sinusoïdale oscille entre \N(-1\N) et \N(1\N). En fait, pour tout \N(L\N) que tu essaies de choisir, l'oscillation de la fonction sinusoïdale sera toujours un problème. Donc
\[\lim_{x\to\infty} \sin x\]
n'existe pas.
Parfois, lorsque \(x\à \infty\), les valeurs de la fonction continuent à augmenter, comme avec la fonction \(f(x)=x\). Comme cela se produit avec un grand nombre de fonctions, il existe une définition spéciale pour ce comportement.
On dit qu'une fonction \(f(x)\) a une limite infinie à l'infini, et on écrit
\[\lim_{x\to\infty}f(x)=\infty,\]
si pour tout \N(M>0\N) il existe un \N(N>0\N) tel que \N(f(x)>M\N) pour tout \N(x>N.\N).
Ce n'est pas la même chose que de dire que la limite existe ou que la fonction "atteint" l'infini. Écriture
\[\lim_{x\to\infty}f(x)=\infty\]
n'est qu'un raccourci pour dire que la fonction devient de plus en plus grande lorsque tu considères que \(x\) devient de plus en plus grand.
Prends la fonction \(f(x)=\sqrt{x}\) et montre que
\[\lim_{x\to\infty}f(x)=\infty.\]
Solution
Pour montrer que la limite est l'infini, prends une valeur fixe de \(M>0\). Tu veux que \N(x>N\N) implique que \N(f(x)>M\N), ou en d'autres termes que \N(\sqrt{x}>M\N).
Dans ce cas, il est relativement facile de résoudre \N(x\N) et de trouver que \N(x>M^2\N). En travaillant à rebours, si tu prends \N(N>M^2\), tu sais que \N(x>N>M^2\) impliquera que
\[\sqrt{x}>\sqrt{N}>\sqrt{M^2}=M,\]
et tout se tient car tu sais que \N(N\N) et \N(M\N) sont positifs. Tu as donc montré que
\[\lim_{x\to\infty}f(x)=\infty.\]
Limites à l'infini négatif
Comme pour la limite à l'infini, tu peux définir la limite à l'infini négatif.
On dit qu'une fonction \ (f(x)\) a unelimite à l'infini négatif s'il existe un nombre réel \(L\) tel que pour tout \ (\epsilon>0\), il existe \(N>0\) tel que
\[|f(x)-L|<\epsilon\]
pour tout \N (x<-N\N), et nous écrivons
\N- [\Nlim_{x\Nà -\Nfty}=L.\N]
Tu peux aussi définir une fonction dont la limite à l'infini est l'infini négatif. Tu remarqueras que cette définition est assez similaire à la définition ci-dessus.
On dit qu'une fonction \(f(x)\) a une limite infinie négative à l'infini, et on écrit
\[\lim_{x\to\infty}f(x)=-\infty,\]
si pour tout \N(M>0\N) il existe un \N(N>0\N) tel que \N(f(x)<-M\N) pour tout \N(x>N.\N).
Bien sûr, ce que tu peux faire pour le sens positif, tu peux le faire dans le sens négatif.
On dit qu'une fonction \(f(x)\) a une limite infinie à l'infini négatif, et on écrit
\[\lim_{x\to-\infty}f(x)=\infty,\]
si pour tout \N(M>0\N) il existe un \N(N>0\N) tel que \N(f(x)>M\N) pour tout \N(x<-N.\N).
Et enfin, une limite infinie négative à l'infini négatif.
On dit qu'une fonction \(f(x)\) a une limite infinie négative à l'infini négatif, et on écrit
\[\lim_{x\to -\infty} f(x)=-\infty,\N]
si pour tout \N(M>0\N) il existe un \N(N>0\N) tel que \N(f(x)<-M\N) pour tout \N(x<-N.\N).
Trouver une limite infinie à partir d'un graphique
Parfois, il peut être très utile de représenter graphiquement la fonction et de consulter un tableau de valeurs lorsque l'on essaie de trouver une limite infinie. C'est particulièrement vrai lorsque tu n'as pas une très bonne intuition de ce à quoi ressemble la fonction.
En utilisant la fonction
\[f(x)=\frac{1}{x}\sin x,\N]
trouve
\[\lim_{x\\Nà\Nfty} f(x).\N]
Solution
Fais d'abord un graphique de la fonction et un tableau des valeurs de la fonction. Dans le graphique ci-dessous, tu peux voir les points du tableau tracés sur la fonction.
Fig. 3. Utilisation d'un graphique pour trouver la limite d'une fonction.
| \(x\) | \N(f(x)\N) |
| \(10\) | \(-0.0544\) |
| \(20\) | \(0.0456\) |
| \(30\) | \(-0.0329\) |
| \(40\) | \(0.0186\) |
| \(50\) | \(-0.0052\) |
| \(60\) | \(-0.0050\) |
| \(70\) | \(0.0110\) |
| \(80\) | \(-0.0124\) |
| \(90\) | \(0.0099\) |
| \(100\) | \(-0.0050\) |
| \(200\) | \(-0.0043\) |
| \(300\) | \(-0.0033\) |
| \(400\) | \(-0.0021\) |
| \(500\) | \(-0.0009\) |
Tableau 1 - Points du graphique.
D'après le tableau et le graphique, il semble que les valeurs de la fonction se rapprochent de zéro lorsque \(x\à \infty\), mais tu n'en es pas sûr. Puisqu'il s'agit de trouver une limite à l'infini, au lieu de tracer le graphique de \(x=0\) vers la droite, commence par une valeur plus grande de \(x\) pour avoir une meilleure vue.
Fig. 4. Vue agrandie du graphique.
| \(x\) | \N(f(x)\N) |
| \(10\) | \(-0.0544\) |
| \(20\) | \(0.0456\) |
| \(30\) | \(-0.0329\) |
| \(40\) | \(0.0186\) |
| \(50\) | \(-0.0052\) |
| \(60\) | \(0.0050\) |
| (\70\) | \(0.0110\) |
| \(80\) | \(-0.0124\) |
| \(90\) | \(0.0099\) |
| \(100\) | \(0.0050\) |
Tableau 2 - Points du graphique.
En déplaçant la fenêtre du graphique, il est beaucoup plus facile de voir que les valeurs de la fonction se rapprochent de zéro à mesure que \(x\Nà\Nfty\N). Tu peux maintenant dire que
\[\lim_{x\to\infty}f(x)=0.\]
Prenons un autre exemple.
Il est important de combiner les graphiques et les tableaux lorsqu'on essaie de trouver la limite à l'infini. Par exemple, si tu prends la fonction \(f(x)=\sin x,\), tu peux créer le tableau de valeurs suivant :
| \(x\) | \N(\Nsin(x)\N) |
| \(0\) | \(0\) |
| \N- \N- \N- \N- \N- \N(10\pi\N) | \(0\) |
| \N- (100\Npi\N) | \(0\) |
| \N- \N- \N- \N- \N(1000 \Npi\N) | \(0\) |
Tableau 3.- Tableau des valeurs de la fonction. pourrait te faire croire que la limite à l'infini est zéro. Cependant, si tu fais un graphique de la fonction, tu peux voir que \(f(x)=\sin x\) continue d'osciller quelle que soit l'importance des valeurs de \(x\). Ainsi, le simple fait de regarder un tableau peut être trompeur si tu ne fais pas attention à la façon dont tu choisis les valeurs de \(x\) que tu y mets. En sachant ce que tu sais sur la fonction sinus, tu peux affirmer sans risque que\[\lim_{x\to\infty}\sin x\]n'existe pas.
Exemples de limites à l'infini
Il existe un nom spécial pour désigner l'existence de la limite à l'infini ou de la limite à l'infini négatif d'une fonction.
Si
\[\lim_{x\to\pm\infty}f(x)=L,\]
où \ (L\) est un nombre réel, on dit que la droite \ (y=L\) est une asymptote horizontale pour \ (f(x)\).
Tu as déjà vu en calcul des exemples de fonctions avec des asymptotes horizontales, il s'agit simplement de te donner une définition mathématique précise. Prenons un exemple.
La fonction
\[f(x)=\left(\frac{2}{x}+1\right)\left(\frac{5x^2-1}{x^2}\right)\]
a une asymptote horizontale ? Si oui, trouve son équation.
Solution
Cette fonction n'a pas l'air très amusante sous sa forme actuelle, alors donnons-lui un dénominateur commun et transformons-la d'abord en une fraction,
\[\begin{align}f(x)&=\left(\frac{2}{x}+1\right) \left(\frac{5x^2-1}{x^2}\right)\\&=\left(\frac{2+x}{x}\right)\left(\frac{5x^2-1}{x^2}\right)\\&=\frac{(2+x)(5x^2-1)}{x^3} .\end{align}\]
En regardant, tu peux voir que la puissance la plus élevée du numérateur est égale à la puissance la plus élevée du dénominateur. En multipliant le numérateur et en le divisant par le dénominateur, on obtient ,
\[\begin{align} f(x)&=\frac{(2+x)(5x^2-1)}{x^3}\\&=\frac{10x^2-2+5x^3-x}{x^3}\\&=\frac{5x^3+10x^2-x-2}{x^3}\\&=5+\frac{10}{x}-\frac{1}{x^2}-\frac{2}{x^3}.\end{align}\]
En utilisant ce que tu sais sur les polynômes, tu peux voir qu'en fait cette fonction a la propriété suivante
\[\lim_{x\to\infty}f(x)=5,\]
et que
\[\lim_{x\to-\infty}f(x)=5,\]
donc cette fonction a pour asymptote horizontale \N(y=5\N).
Pour un examen du comportement des fonctions polynomiales, voir Fonctions polynomiales.
Les fonctions rationnelles ont des propriétés utiles,
Si \(r>0\) est un nombre rationnel tel que \(x^r\) est défini pour tout \(x>0\), alors
\[\lim_{x\to\infty}\frac{1}{x^r}=0.\]
Pour la fonction
\[f(x)=\frac{1}{\sqrt[3]{x^2}}\]
trouve
\[\lim_{x\to\infty}f(x).\]
Solution
En utilisant le précédent Deep Dive, avec \(r=\frac{2}{3}\), puisque \(x^r\) est défini pour tout \(x>0\), tu sais que
\N- [\N- Début{alignement} \lim_{x\to\infty}f(x) &=\lim_{x\to\infty}\frac{1}{\sqrt[3]{x^2}} \\N- &=\lim_{x\to\infty}\frac{1}{x^r}\N- &=0. \N- [end{align}\N]
Règles des limites à l'infini
Tout comme les lois sur les limites, il existe des propriétés des limites qu'il est utile de connaître lorsque l'on étudie \(x\Nà\Nfty\N).
Supposons que \(L\), \(M\), et \(k\) sont des nombres réels, avec \(f\) et \(g\) étant des fonctions telles que
\[\lim_{x\to\pm\infty}f(x)=L\quad \text{and}\quad \lim_{x\to\pm\infty}g(x)=M.\]
Dans ce cas, les règles suivantes s'appliquent,
Règle de la somme. \[\lim_{x\to\pm\infty}(f(x)+g(x))=L+M.\]
Règle dedifférence. \[\lim_{x\to\pm\infty} (f(x)-g(x))=L-M.\]
Règle duproduit. \[\lim_{x\to\pm\infty}(f(x)\cdot g(x))=L\cdot M.\N]
Règle du multiple constant. \[\lim_{x\to\pm \infty}k\cdot f(x)=k\cdot L.\]
Règle du quotient. Si \(M\neq 0\), alors
\[\lim_{x\to\pm\infty}\frac{f(x)}{g(x)}=\frac{L}{M}.\]
Règle de puissance. Si \(r,s\in\mathbb{Z}\), avec \(s\neq 0\), alors
\[\lim_{x\to\pm\infty}(f(x))^{\frac{r}{s}}=L^{\frac{r}{s}},\]
à condition que \(L^{\frac{r}{s}}}\) soit un nombre réel et que \(L>0\) lorsque \(s\) est pair.
Peux-tu appliquer la règle du quotient ci-dessus pour trouver
\[\lim_{x\to\infty}\dfrac{5x+\sin x}{x} ? \]
Solution
Si tu essaies de prendre \(f(x)=5x+\sin x\) et \(g(x)=x\), alors ces deux fonctions ont une limite infinie à l'infini, donc tu ne peux pas appliquer la règle du quotient. Au lieu de cela, tu peux d'abord faire un peu d'algèbre,
\[\begin{align} \frac{5x+\sin x}{x} &=\frac{5x}{x}+\frac{1}{x}\sin x\\\N- &=5+\frac{1}{x}\sin x. \end{align}\N]
Si tu prends \(f(x)=5\) et \(g(x)=\frac{1}{x}\sin x\) tu sais d'après le travail ci-dessus que
\[\lim_{x\to\infty}f(x)=\lim_{x\to\infty}5=5,\]
et
\[\lim_{x\to\infty}\frac{1}{x}\sin(x)=0,\]
tu peux donc utiliser la règle de la somme pour l'obtenir,
\[\N- Début{alignement} \_{x\to\infty}\frac{5x+\sin x}{x} &=\lim_{x\to\infty}5+\lim_{x\to\infty}\frac{1}{x}\sin x \N- &=5+0\N- &=5. \N- [end{align}\N]
Alors non, tu ne peux pas utiliser la règle du quotient, mais tu peux utiliser un peu d'algèbre et ensuite la règle de la somme pour trouver la limite.
L'un des résultats les plus importants concernant les limites, le théorème de l'écrasement, s'applique également aux limites à l'infini.
Théorème de Squeeze pour les limites à l'infini. Suppose que
\N[g(x)\Nle f(x)\Nle h(x),\N]
et
\[\lim_{x\to\pm\infty}g(x)=\lim_{x\to\pm\infty}h(x)=L,\]
alors
\[\lim_{x\to\pm\infty}f(x)=L.\]
Notez qu'il est seulement important que \N(g(x)\Nf(x) \Nh(x)\Nsoit vrai pour de très grandes valeurs de \N(x\N) si vous essayez de trouver la limite comme \N(x\Nà\Nfacture), ou qu'il soit vrai pour des valeurs très négatives si vous essayez de trouver la limite comme \N(x\Nà -\Nfacture).
Revenons à \[f(x)=\frac{1}{x}\sin x,\]
tu sais que pour de grandes valeurs de \(x\),
\[-\frac{1}{x}<\frac{1}{x}\sin x<\frac{1}{x}.\]
De plus ,
\[\lim_{x\to\infty}\frac{1}{x}=0.\]
Par conséquent, par le théorème de l'écrasement, tu sais que,
\[\lim_{x\to\infty}\frac{1}{x}\sin x=0.\]
Prenons un autre exemple.Trouve
\[\lim_{x\to\infty}\frac{\cos(2x)\sin(x^2)+3\sin x-\cos x}{x}\]
s'il existe.
Solution
À première vue, ce problème peut sembler difficile, mais rappelle-toi que les fonctions sinus et cosinus sont toujours limitées entre \(-1\) et \(1\), ce qui signifie que leur produit est également limité entre \(-1\) et \(1\). Cela signifie que
\N- 5<\Ncos(2x)\Nsin(x^2)+3\Nsin x-\Ncos x<5.\N]
C'est parce que
\[\begin{align} -1<\cos(2x)\sin(x^2)<1, \\ -3<3\sin x<3,\end{align} \]
et
\N- -1<\cos x<1,\N]
et tu peux prendre leurs valeurs les plus positives et les plus négatives pour obtenir une borne supérieure et une borne inférieure. Alors maintenant, tu sais,
\[\frac{-5}{x}<\frac{\cos(2x)\sin(x^2)+3\sin x-\cos x}{x}<\frac{5}{x}\]
pour de grandes valeurs de \(x\), et on peut appliquer le théorème de l'écrasement pour obtenir que
\[\lim_{x\to\infty}\frac{\cos(2x)\sin(x^2)+3\sin x-\cos x}{x}=0.\]
Limites des fonctions trigonométriques à l'infini
Tu t'interroges peut-être sur les limites des fonctions trigonométriques. Les sections ci-dessus contiennent des exemples impliquant les fonctions sinus et cosinus. Les mêmes concepts peuvent être appliqués à n'importe quelle fonction trigonométrique, fonction trigonométrique inverse ou fonction trigonométrique hyperbolique. Voir les articles Fonctions trigonométriques, Fonctions hyperboliques, Fonctions inverses et Fonctions trigonométriques inverses pour plus de détails et d'exemples.
Limites à l'infini - Principaux enseignements
On dit qu'une fonction (f(x)\N) a une limite à l'infini s'il existe un nombre réel \N(L\N) tel que pour tout \N(\epsilon >0\N), il existe \N(N>0\N) tel que
\[|f(x)-L|<\epsilon\]pour tout \(x>N\), et nous écrivons \[\lim_{x\to\infty}=L.\].
On dit qu'une fonction \(f(x)\N) a une limite infinie à l'infini, et on écrit \N[\Nlim_{x\Nà\nfty}f(x)=\nfty,\N].
si pour tout \N(M>0\N) il existe un \N(N>0\N) tel que \N(f(x)>M\N) pour tout \N(x>N.\N).
If \[\lim_{x\to\pm\infty}f(x)=L\]
où \ (L\) est un nombre réel, on dit que la droite \ (y=L\) est une asymptote horizontale pour \ (f(x).\)
Comme pour les limites des fonctions, les règles de la somme, du produit, de la différence, de la constante et du quotient sont toutes valables pour les limites à l'infini.
Théorème de l'écrasement pour les limites à l'infini. Suppose que \[g(x)\le f(x)\le h(x),\N] and \[\lim_{x\to\pm\infty}g(x)=\lim_{x\to\pm\infty}h(x)=L,\]
alors \N-[\N-{x\to\pm\Ninfty}f(x)=L.\N].