Nous pouvons également utiliser la factorisation des nombres premiers pour déduire le nombre de facteurs d'un nombre donné. Note qu'il est possible d'utiliser à la fois la méthode de l'arbre factoriel et la méthode de la division pour effectuer cette tâche. Cependant, dans la plupart des manuels, la méthode de l'arbre factoriel est le choix le plus courant pour ce travail. Tu trouveras ci-dessous les quatre étapes de cette méthode.
Pour le démontrer, examinons l'exemple suivant.
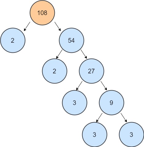
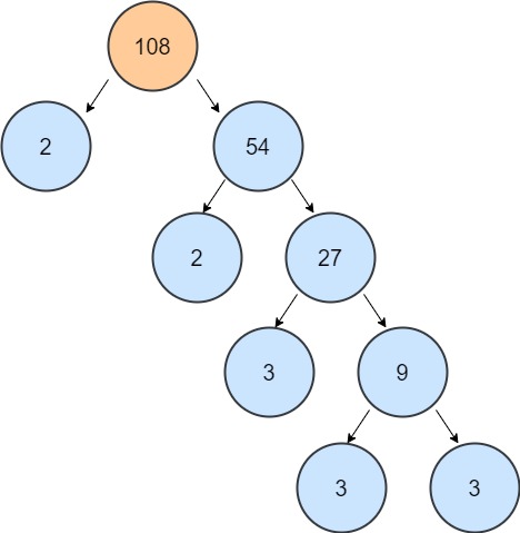
Trouve le nombre de facteurs pour le nombre \(108\).
Solution
Utilisons la méthode de l'arbre à facteurs pour trouver la factorisation première de \(108\).

Méthode de l'arbre factoriel pour 108 - StudySmarter Originals
Ainsi, la factorisation première de \(108\N) est \N(108 = 2 \Ntimes 2 \Ntimes 3 \Ntimes 3 \Ntimes 3 \N).
Sous forme d'exposant, nous obtenons \(108 = 2^2 \times 3^3\).
Ici, nous avons les valeurs suivantes des exposants.
Exposant pour \N(2 = 2\N)
Exposant pour \N(3 = 3\N)
Maintenant, en ajoutant \N(1\N) à chacun de ces exposants, on obtient
Exposant de \N(2 + 1 = 3\N)
Exposant de \N(3 + 1 = 4\N)
En multipliant ces nombres, on obtient
\N- [3 \N fois 4 = 12 \N]
Ainsi, le nombre \(108\) a \(12\) facteurs.
Vérification
Vérifions si notre résultat est correct. En utilisant la méthode de multiplication, nous pouvons écrire 108 comme le produit suivant de deux nombres.
\N- [1 fois 108 = 108 \N]
\N- [2 \N- fois 54 = 108 \N]
\N- [3 \N- fois 36 = 108 \N]
\N- [4 \N- fois 27 = 108 \N]
\N- 6 \N- 18 \N = 108 \N]
\N- [9 \N- fois 12 = 108 \N]
Les facteurs de \N(108\N) sont \N(1\N), \N(2\N), \N(3\N), \N(4\N), \N(6\N), \N(9\N), \N(12\N), \N(18\N), \N(27\N), \N(36\N), \N(54\N) et \N(108\N). Ainsi, le nombre \(108\) a un total de \(12\) facteurs, comme déclaré.