Nous pouvons utiliser des méthodes numériques dans tous les domaines des mathématiques où nous aurions autrement du mal à trouver une solution. En général, cela inclut les équations différentiellesa>, la résolution de systèmes linéairesa> (équations simultanéesa> en plusieurs variables) et la recherche de la dérivée d'une fonction en un point. Cependant, au niveau A, nous nous concentrerons sur la recherche de racines et la recherche de l'aire sous les courbes.
Intégration numérique
Certaines fonctions ne sont pas intégrables, ce qui signifie qu'il n'existe pas d'antidérivée pour cette fonction. Cependant, cela ne signifie pas que nous ne pouvons pas calculer approximativement l'aire sous ces fonctions (c'est-à-dire trouver une solution approximative pour une intégrale définie). Pour ce faire, nous divisons l'aire sous l'intégrale en aires plus petites (ou en formes qui ressemblent étroitement à l'aire de l'intégrale), nous trouvons l'aire de chacune de ces aires, puis nous les additionnons pour obtenir une approximation.
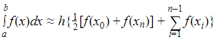
Au niveau A, nous nous concentrons sur la méthode des trapèzes. Il s'agit de diviser la surface en une série de trapèzes et de les additionner. Tu trouveras ci-dessous un schéma illustrant cette méthode.
Méthode trapézoïdale d'intégration numérique.
Plus on ajoute de trapèzes, plus l'approximation devient précise.
Formalisons cela pour obtenir une formule. Supposons que nous ayons une fonction
, et que nous voulions approximer l'intégrale de
, avec n intervalles également espacés. Cela signifie que nous avons besoin de n + 1 points de données. Soit
, puis
pour
. Nous trouvons ensuite les valeurs de ces points de données évaluées sur la fonction, ce qui nous donne
.
Pour tout trapèze, la surface est donnée par (la largeur) * (la hauteur moyenne des côtés de longueur inégale). Dans ce cas, notre largeur est donnée par
. La hauteur moyenne du trapèze i est donnée par
. Cela signifie que la surface du trapèze i est donnée par
. En faisant la somme de tous ces éléments, nous obtenons la formule de
. Comme chaque
est compté deux fois en dehors des deux points d'extrémité, nous pouvons simplifier cette formule en
.
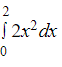
Trouve une approximation de
en utilisant la règle du trapèze, avec quatre bandes de même largeur.
Pour quatre bandes, nous avons besoin de 5 points. Les points sont 0, 0,5, 1, 1,5, 2.
Le tableau suivant montre à la fois
et
:

| 0 | 0.5 | 1 | 1.5 | 2 |

| 0 | 0.5 | 2 | 4.5 | |
D'après la formule donnée,
. Cela signifie que notre approximation de l'intégrale est donnée par
.
Si nous devions évaluer cette intégrale "correctement", nous obtiendrions
, qui est proche de 5,5, ce qui montre qu'il s'agit d'une bonne approximation.
Recherche de racine
Toutes les équations ne peuvent pas être résolues à l'aide de méthodes algébriques. C'est là qu'intervient l'utilisation de méthodes numériques pour trouver les racines. Toutes les méthodes ne fonctionnent pas dans tous les cas, c'est pourquoi nous devons parfois être sélectifs quant à la méthode que nous utilisons.
Comment localiser une racine
Supposons qu'il existe une fonction,
et que nous pensons qu'une racine peut être située entre les points a et b. S'il y a une seule racine, alors le signe de
sera différent de celui de
. Si l'intervalle est trop grand entre a et b, il peut y avoir plusieurs racines, ce qui pourrait signifier que les signes restent les mêmes, même avec plusieurs racines (cela se produit si le nombre de racines est pair).
Localisation d'une racine à l'aide de méthodes numériques
L'image ci-dessus devrait te permettre de comprendre comment le changement de signe indique une racine.
Montre qu'il existe une racine de
entre -1,5 et -1,4.
et
. Comme il y a un changement de signe, il y a une racine de f entre -1,5 et -1,4.