Lesopérations avec les pol ynômes comprennent toutes les opérations arithmétiques que tu peux effectuer avec les polynômes, y compris l'addition, la soustraction, la multiplication et la division.
Nous allons maintenant te montrer les différentes méthodes disponibles pour résoudre les opérations arithmétiques avec des polynômes.
Addition ou soustraction de polynômes
Il existe deux méthodes différentes que tu peux utiliser pour ajouter ou soustraire des polynômes : la méthode horizontale et la méthode verticale.
Méthode horizontale
Pour additionner des polynômes horizontalement, tu peux utiliser la propriété distributive pour combiner des termes similaires de façon à obtenir un seul terme pour chaque exposant, comme ceci :
Additionne les polynômes et.
Lorsque l'on additionne des polynômes, il n'est pas nécessaire d'utiliser des parenthèses car l'addition ne modifie pas les signes avec la propriété distributive. Tu peux maintenant combiner les termes similaires
Le polynôme résultant est :
Méthode verticale
La méthode verticale consiste à empiler les polynômes les uns sur les autres afin de voir plus facilement les termes semblables. Dans ce cas, tu dois compléter les termes manquants en supposant qu'ils ont un coefficient de zéro (0) :
+

Tu peux voir que le résultat est le même que précédemment, mais cette méthode te donne une façon plus organisée d'identifier les termes similaires et évite toute confusion.
Pour soustraire des polynômes, tu peux suivre les mêmes méthodes, mais n'oublie pas de faire attention aux signes. Pour éviter les erreurs lors de la soustraction de polynômes, change les signes de tous les termes du deuxième polynôme, puis ajoute les termes similaires comme précédemment.
Changer les signes de tous les termes d'un polynôme s'appelle trouver son inverse additif.
Nous allons maintenant soustraire les mêmes polynômes que ceux que nous avons utilisés dans l'exemple précédent :
Soustrais les polynômes et .
Méthode horizontale
Change les signes de tous les termes du deuxième polynôme.
Combine les termes semblables.
Méthode verticale
Change les signes du deuxième polynôme.

Additionne les termes similaires.
Multiplication des polynômes
Pour multiplier des polynômes, tu peux aussi suivre une méthode horizontale et une méthode verticale. Voici un exemple de multiplication de deux polynômes en utilisant les deux méthodes.
Multiplie et en utilisant les méthodes horizontale et verticale.
Méthode horizontale
Multiplie chaque terme du premier polynôme par le second polynôme (propriété distributive).
Développe les parenthèses et combine les termes similaires
Méthode verticale
______________
Multiplier par
Multiplier par
______________
Additionne les termes similaires
Quelle que soit la méthode que tu utilises, tu devrais obtenir le même résultat !
Division des polynômes
Pour diviser des polynômes, tu peux utiliser la méthode de la division longue ou la méthode de la division synthétique.
Méthode de division longue
Voici un exemple des étapes à suivre pour diviser des polynômes à l'aide de la méthode de division longue.
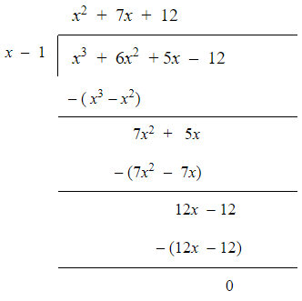
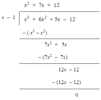
Divise par en utilisant la division longue.
Avant de commencer, nous devons identifier chaque partie de la division. est le dividende, est le diviseur, et le résultat s'appelle le quotient. Ce qui reste à la fin est le reste.
N'oublie pas de compléter les termes manquants du dividende par le coefficient zéro afin que le polynôme soit dans l'ordre décroissant des exposants.
- Tout d'abord, divise le premier terme du dividende par le premier terme du diviseurpuis place le résultat comme premier terme du quotient.
- Multiplie le premier terme du quotient par les deux termes du diviseur, et place les résultats sous le dividende, alignés avec leur exposant correspondant.
- Soustrais les termes semblables en faisant attention aux signes.
- Fais descendre le terme suivant du polynôme (dividende).
- Répète les étapes 1 à 4 jusqu'à ce que le degré de l'expression du reste soit inférieur à celui du diviseur.

Complète les termes manquants avec le coefficient zéro.
Soustrais les termes semblables.
Abaisse 0x.
Soustrais les termes semblables.
Abaisse -36.
Soustrais les termes semblables.
Le reste est zéro.
Le résultat peut être exprimé de la façon suivante : .
Méthode de division synthétique
Nous allons maintenant résoudre le même exemple que précédemment en utilisant la division synthétique.
Divise par en utilisant la division synthétique.
Tu peux utiliser la division synthétique dans ce cas, car le diviseur est une expression linéaire (avec un degré de 1).
Le théorème du reste stipule que si un polynôme est divisé par , alors le reste . Par conséquent, nous pouvons résoudre cette division en évaluant le polynôme (dividende) à l'aide d'une substitution synthétique lorsque .
Si tu as besoin de te rafraîchir la mémoire sur la façon d'évaluer les polynômes à l'aide de cette méthode, consulte l'article sur l'évaluation et la représentation graphique des polynômes.
- Le diviseur est Par conséquent, nous évaluons le dividende lorsque .

- Fais descendre le coefficient principal sous la ligne horizontale. Multiplie le coefficient de tête par la valeur de x. Écris le résultat de la multiplication juste sous le coefficient suivant. Ensuite, additionne les valeurs de la deuxième colonne en tenant compte de leurs signes.

- Multiplie le résultat de l'addition par la valeur de x, et mets le résultat de la multiplication juste sous le coefficient suivant. Additionne ensuite les valeurs en tenant compte de leur signe. Répète cette étape pour tous les coefficients.


La valeur finale sous la ligne horizontale sera la valeur de .
Par conséquent, le reste de la division est zéro (0).
Le résultat est donc : .
Le degré du polynôme du quotient sera inférieur d'une unité au degré du polynôme du dividende.
Comment factoriser les polynômes
La factorisation des polynômes consiste à réécrire les polynômes comme le produit de deux ou plusieurs termes plus simples. Tu dois aborder ces problèmes différemment, selon le degré du polynôme et le coefficient du terme ayant la puissance la plus élevée :
Facteur .
Trouve les facteurs de 6 qui, une fois multipliés, sont égaux à +6 et qui, une fois additionnés, sont égaux à +5. Dans ce cas, les facteurs qui correspondent aux exigences sont 2 et 3.
Maintenant, pour trouver les solutions qui rendent l'équation ci-dessus égale à zéro, nous devons tenir compte de la propriété du produit nul .
La propriété du produit nul stipule que si , alors soit ou ou les deux.
Nous devons donc faire en sorte que chaque facteur de égal à zéro, et résoudre x.
Facteur .
1. Multiplie le coefficient de et la constante.
2. Trouve les facteurs de 30.
Si le signe de la constante est positif, tu dois trouver les facteurs de 30 qui donnent le coefficient de x lorsqu'on les additionne. Si le signe de la constante est négatif, tu dois inclure les facteurs de 30 qui donnent le coefficient de x lorsqu'on les soustrait.
Les facteurs de 30 qui donnent 13 lorsqu'ils sont additionnés sont 3 et 10.
3. Recopie le terme et la constante comme dans le polynôme original. et la constante comme dans le polynôme original, et entre ces termes, ajoute les facteurs trouvés à l'étape précédente.
4.
Factorise en regroupant les deux premiers termes
et les deux derniers termes
.
Retire les facteurs communs des deux groupes.
Maintenant que les termes entre parenthèses correspondent, retirecomme facteur commun. Rends chaque facteur de égal à zéro, et résous x.
Les deux solutions sont
et
.
- Si le degré est supérieur à 2 : Dans ce cas, tu devras peut-être extraire les facteurs communs, si possible, et aussi utiliser la factorisation par regroupement.
Facteur .
x est un facteur commun.
Suis maintenant les étapes du cas précédent lorsque le degré est 2, et que le coefficient de n'est pas 1.
Les facteurs de 24 qui donnent 11 lorsqu'ils sont additionnés sont 3 et 8.
Maintenant, factorise en regroupant l'expression à l'intérieur des parenthèses.
Rends chaque facteur de égal à zéro, et résous x.
Les solutions sontet.
Comment simplifier les polynômes ?
Pour simplifier des expressions algébriques fractionnaires contenant des polynômes, tu dois factoriser le numérateur et le dénominateur, puis annuler les facteurs communs.
Simplifie les fractions suivantes :
- Annule le facteur commun .
Annule le facteur commun .
Annule le facteur commun .
Les facteurs de 12 qui donnent 7 lorsqu'ils sont additionnés sont 3 et 4.
Maintenant, factorise en regroupant et en retirant les facteurs communs.
Reviens à la fraction :
Annulation du facteur commun.
Comment utiliser le théorème des facteurs avec les polynômes
Le théorème des facteurs peut être utilisé pour accélérer le processus de factorisation. Il stipule que si tu substitues une valeur p dans une fonction polynomiale f(x) et que le résultat est zéro f(p) = 0, alors tu peux dire que (x - p) est un facteur de f(x).
C'est particulièrement utile dans le cas des polynômes cubiques, et tu peux procéder comme suit :
- Montre que est un facteur de .
est en effet un facteur de
- Montre que est un facteur de .
Divise f (x) par (x - p)

Ecris f (x) comme
Factorise la quadratique restante
Rends chaque facteur de égal à zéro, et résous x.
Les solutions sont , et .
Opérations avec des polynômes - Points clés à retenir
- Pour additionner, soustraire et diviser des expressions polynomiales, complète tous les termes manquants en supposant qu'ils ont un coefficient zéro.
- Pour additionner, soustraire et multiplier des polynômes, tu peux suivre les méthodes horizontales ou verticales.
- Pour diviser des polynômes, tu peux utiliser la méthode de la division longue ou de la division synthétique.
- Factoriser les polynômes consiste à les réécrire comme le produit de deux ou plusieurs termes plus simples.
- Pour simplifier les expressions algébriques fractionnaires contenant des polynômes, factorise le numérateur et le dénominateur, puis annule les facteurs communs.
- Le théorème des facteurs peut être utilisé pour accélérer le processus de factorisation, notamment dans le cas des polynômes cubiques.