Dans cette section, nous allons examiner deux nouveaux concepts appelés le théorème des restes et le théorème des facteurs. Notre objectif est d'appliquer ces théorèmes pour obtenir le reste et les facteurs de polynômes plus complexes. Avant de commencer, rappelons les méthodes suivantes pour diviser les polynômes. Cela nous aidera à comprendre comment les théorèmes sont pertinents pour trouver le reste et les facteurs d'un polynôme.
Composantes dans la division
Nous pouvons exprimer un dividende comme suit :
Dividende = (Diviseur x Quotient) + Reste.
C'est ce qu'on appelle l'algorithme de division. De même, nous pouvons l'écrire sous la forme de l'expression suivante :
.
Supposons que nous divisions les 250 par 7. Ici, 250 est le dividende et 7 est le diviseur. La résolution de ce problème nous donne un quotient de 35 et un reste de 5. Cela peut s'écrire comme suit :
Si le reste est nul, le diviseur devient un facteur du nombre, à savoir ,
Dividende = Facteur x Quotient
Dans ce cas, nous écrivons :
.
Récapitulation de la division longue
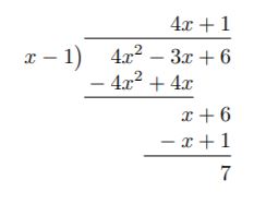
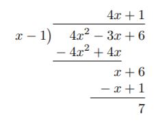
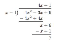
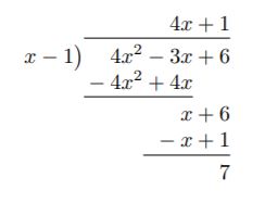
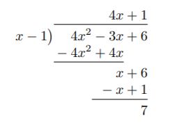
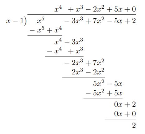
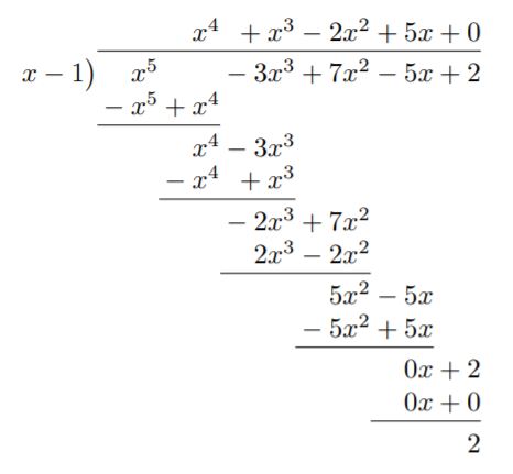
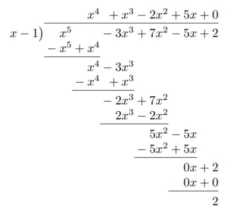
Le concept ci-dessus s'applique de la même façon aux polynômes. Considère la fonction polynomiale ci-dessous.
Utilise la division longue pour diviser le polynôme par (x - 1).

Division longue, Aishah Amri - StudySmarter Originals
Nous en déduisons que :
où
Récapitulation de la division synthétique
Une autre façon de diviser les polynômes est la division synthétique. Prenons le même exemple que précédemment pour montrer cette méthode. Les restes coïncident-ils entre eux ?
Tu trouveras ci-dessous un exemple détaillé décrivant la division synthétique :

Division synthétique, Aishah Amri - StudySmarter Originals
Comme précédemment, nous obtenons un reste de 7.
Le théorème du reste
Le théorème des restes est une méthode utilisée pour trouver le reste d'un polynôme lorsqu'il est divisé par un polynôme linéaire. Le terme polynôme linéaire fait ici référence à un polynôme du premier degré. Il se présente généralement sous la forme suivante :
.
Le théorème des restes ainsi que sa preuve sont énoncés ci-dessous.
Théorème du reste
Si p est un polynôme et que p est divisé par (x - a), alors le reste est p(a).
La forme générale du théorème du reste s'exprime alors comme suit
.
où p est le dividende, (x - a) est le diviseur, q est le quotient et p(a) est le reste.
Preuve du théorème du reste
Soit p un polynôme qui est divisé par (x - a), où a est un nombre réel. L'algorithme de division devient
En introduisant x = a dans l'équation ci-dessus, on obtient
Par conséquent, le reste de r est
comme l'indique le théorème du reste.
Appliquons le théorème des restes à notre exemple précédent pour le montrer.
Utilise le théorème du reste pour trouver le reste du polynôme lorsqu'il est divisé par . Est-ce que cela nous donne le même résultat qu'après la division longue ?
Solution
Par le théorème du reste, nous savons que le reste est f(1). A partir du polynôme donné, nous avons
Par conséquent, le reste est 7, comme nous l'avons déduit par division longue plus tôt.
Examinons maintenant la possibilité d'appliquer ce concept aux polynômes de degrés supérieurs. Tu trouveras ci-dessous deux exemples pratiques pour le démontrer.
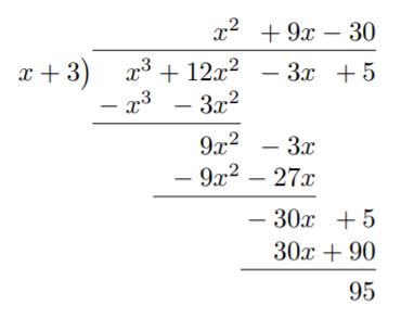
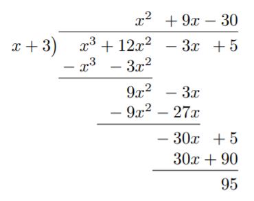
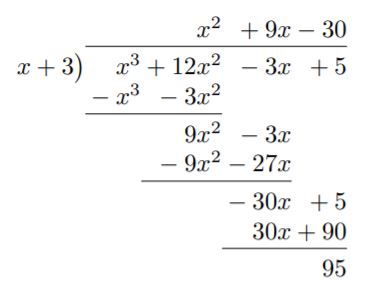
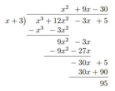
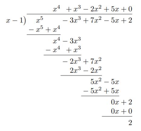
Utilise le théorème du reste pour trouver le reste du polynôme cubique lorsqu'il est divisé par(attention au signe ici !). Ensuite, applique la division longue pour vérifier le résultat.
Solution
D'après le théorème du reste, le reste est f(-3). En résolvant cette question, on obtient
Le reste est donc Utilisons maintenant la division longue pour confirmer ce résultat :

Encore une fois, nous obtenons un reste de 95.
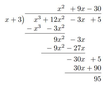
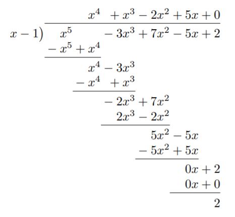
Applique le théorème du reste pour évaluer le reste du polynôme lorsqu'il est divisé par . Ensuite, utilise la division longue pour confirmer la réponse.
Solution
D'après le théorème du reste, le reste est f(1). L'évaluation de ce résultat donne
Le reste est donc Exerçons maintenant la division longue pour vérifier cette réponse :

Comme précédemment, le reste est ici 2.
Le théorème des facteurs
Le théorème des facteurs est une formule utilisée pour factoriser complètement un polynôme en un produit de n facteurs. La variable n fait référence au nombre de facteurs du polynôme. Une fois que nous avons complètement factorisé le polynôme, nous pouvons alors trouver les solutions de l'équation donnée par le polynôme égale à zéro. En d'autres termes, nous pouvons obtenir les racines du polynôme. Pour ce faire, nous appliquons la propriété du produit nul du thème de la factorisation des polynômes. Le théorème des facteurs et sa preuve sont présentés ci-dessous.
Le théorème des facteurs
Un polynôme p a un facteur (x - a) si et seulement si le reste p(a) = 0.
La forme générale du théorème des facteurs s'exprime alors comme suit
où p(x) est le dividende, (x - a) est le facteur et q(x) est le quotient.
Preuve du théorème des facteurs
Soit p un polynôme divisé par (x - a), où a est un nombre réel. Si (x - a) est un facteur de p, alors
En introduisant x = a dans l'équation, on obtient
Par conséquent, a est une racine de p. Inversement, si a est une racine de p, alors le reste doit être égal à zéro, soit D'après le théorème du reste, nous savons que
En substituant dans l'équation ci-dessus nous donne
Ainsi, (x - a) est bien un facteur de p(x). Nous avons donc prouvé le théorème des facteurs.
Examinons l'exemple suivant.
Utilise le théorème des facteurs pour déterminer si x - 1 est un facteur du polynôme . D'où ou non, utilise la division synthétique pour vérifier le résultat.
Solution
Par le théorème des facteurs, si x - 1 est un facteur de alors le reste, f(1) doit être égal à zéro. En calculant f(1), on trouve que
Par conséquent, x - 1 est un facteur de f(x). Par division synthétique, on observe que

Ici, nous voyons clairement que le reste est également nul.
Passons maintenant à l'application du théorème des facteurs aux polynômes de degré supérieur à deux. Nous avons ici deux exemples travaillés pour le démontrer.
Utilise le théorème des facteurs pour montrer si le binôme x + 2 est un facteur du polynôme cubique. . Ensuite, utilise la division synthétique pour confirmer ce résultat.
Solution
Par le théorème des facteurs, si x + 2 est un facteur de alors le reste, f(-2) doit être égal à zéro. En calculant f(-2), on obtient
Par conséquent, x + 2 est un facteur de f. Utilisons maintenant la division synthétique pour vérifier nos résultats.

Ainsi, le reste est bien zéro et le résultat coïncide avec le théorème des facteurs.
Applique le théorème des facteurs pour déterminer si le binôme x - 1 est un facteur du polynôme cubique. . Ensuite, utilise la division synthétique pour vérifier ce résultat.
Solution
Par le théorème des facteurs, si x - 1 est un facteur de alors le reste, f(1) doit être égal à zéro. En évaluant f(1), on obtient
Par conséquent, x - 1 est un facteur de f(x). Nous appliquons maintenant la division synthétique pour confirmer notre résultat.

Une fois de plus, nous obtenons un reste de zéro. Par conséquent, le résultat est conforme au théorème des facteurs, comme précédemment.
Trouver les solutions des polynômes à l'aide du théorème des facteurs
Comme nous l'avons déjà mentionné, le théorème des facteurs joue un rôle dans la factorisation complète d'un polynôme. Cela nous aidera donc à trouver les solutions du polynôme. Ce faisant, il est utile d'utiliser la division synthétique (ou division longue) pour déduire le quotient associé au facteur du polynôme. Nous allons reprendre les deux exemples précédents ci-dessus pour le montrer.
Résous le polynôme cubique .
Solution
De l'exemple travaillé précédent, nous avons déduit que x + 2 est un facteur de f. De plus, la division synthétique nous indique que le quotient associé à ce diviseur est le polynôme. Remarque que ce dernier est tiré des coefficients de la dernière ligne de la division synthétique. Par conséquent, le polynôme prendra la forme suivante
Le trinôme quadratique peut être factorisé en utilisant les techniques de factorisation de la rubrique précédente : Factorisation des polynômes. Ce faisant, nous avons obtenu la forme factorisée suivante
En utilisant la propriété du produit nul, nous avons
La résolution de ce problème nous donne 3 solutions
Trouve les solutions du polynôme .
Solution
De même, nous avons trouvé que x - 1 est un facteur de f. La division synthétique nous indique que le quotient associé à ce diviseur est le polynôme . Par conséquent, le polynôme aura la forme suivante
Nous pouvons factoriser le trinôme quadratique Ainsi, la forme factorisée complète devient
Ici, nous obtenons
Nous avons donc 3 racines :
Théorèmes du reste et du facteur pour les diviseurs de la forme (ax - b)
Jusqu'à présent, nous n'avons étudié que les diviseurs de la forme linéaire, . Nous allons maintenant examiner une autre forme linéaire dans laquelle les diviseurs peuvent prendre, c'est-à-dire , . Tu trouveras ci-dessous la formule standard pour ce type de diviseur en relation avec les théorèmes du reste et des facteurs.
Théorèmes du reste et des facteurs pour le diviseur (ax - b)
Si p est un polynôme quelconque et que p est divisé par (ax - b), alors le reste est
Si alors (ax - b) est un facteur de p.
Observe notre dernier exemple avec le polynôme . Sous la forme complètement factorisée, nous voyons que (3x + 1) se trouve être un facteur du polynôme. Utilisons le théorème des facteurs pour le vérifier :
Par le théorème des facteurs, si (3x + 1) est un facteur de alors le reste, doit être égal à zéro. En calculant nous obtenons
Par conséquent, (3x + 1) est un facteur de f, comme il se doit.
Reprenons le même exemple. Cette fois, utilisons le théorème du reste pour trouver le reste du polynôme lorsqu'il est divisé par (5x - 7) .
En vertu du théorème des facteurs, si (5x - 7) est divisé par alors le reste est Calculer
Le reste est donc .
Théorème des restes et théorème des facteurs
Dans cette section, nous allons résumer les différences entre le théorème des restes et le théorème des facteurs. Le tableau ci-dessous décrit cette comparaison.
| Théorème des restes | Théorème des facteurs |
| Si p(x) est un polynôme et que p(x) est divisé par (x - a), alors le reste est p(a). | Un polynôme p(x) a un facteur (x - a) si et seulement si le reste p(a) = 0. |
| Associe le reste de la division par un binôme à la valeur d'une fonction en un point. | Associe les facteurs d'un polynôme à ses racines. |
| Utilisé pour trouver le reste d'un polynôme lorsqu'il est divisé par un polynôme linéaire. | Utilisé pour factoriser complètement un polynôme en un produit de n facteurs. |
Théorème du reste et théorème des facteurs - Principaux enseignements
- Le théorème des restes associe le reste de la division par un binôme à la valeur d'une fonction en un point.
- Le théorème des restes est utilisé pour trouver le reste d'un polynôme lorsqu'il est divisé par un polynôme linéaire.
- Théorème du reste : Si p(x) est un polynôme et que p(x) est divisé par (x - a), alors le reste est p(a).
- Le théorème des facteurs associe les facteurs d'un polynôme à ses racines.
- Le théorème des facteurs est utilisé pour factoriser complètement un polynôme en un produit de n facteurs.
- Le théorème des facteurs : Un polynôme p(x) a un facteur (x - a) si et seulement si le reste p(a) = 0.