Multiplicité
Si un polynôme p(x) a plusieurs racines en r, la multiplicité de r fait référence au nombre de fois où (x - r) apparaît comme facteur de p(x). Ces racines sont également appelées racines répétées. Par exemple, p(x) = (x - r)3 signifie que la racine r a une multiplicité de 3.
Racines
Les racines d'un polynôme p(x) sont les valeurs d'une variable qui satisfont l'équation p(x) = 0. Elles sont également appelées solutions, zéros et x-intercepts.
En outre, définissons également la forme standard et le degré d'un polynôme comme suit :
Soit p(x) un polynôme de la forme
où sont les coefficients des variables respectivement.
Le degré d'un polynôme est la puissance la plus élevée de x dans un polynôme à coefficients non nuls.
En gardant cela à l'esprit, nous pouvons établir le théorème suivant.
Théorème fondamental de l'algèbre
Si p(x) est un polynôme de degré n ≥ 1, alors p(x) = 0 a exactement n racines, y compris les multiplicités et les racines complexes.
Note que n fait référence au degré le plus élevé d'un polynôme donné. Prouver ce théorème dépasse le cadre de ce syllabus. Il n'est donc pas nécessaire que tu le vérifies ! Cependant, il est important que tu saches comment appliquer ce concept à la factorisation et à la résolution des polynômes.
Il est utile de rappeler que le terme complexe décrit ici une racine complexe avec une partie imaginaire non nulle, disons, a + bi, où a est réel et b ≠ 0. Comme les racines complexes se présentent toujours par paires conjuguées, cela implique que a - bi est également une racine du polynôme.
Application du théorème fondamental de l'algèbre
Appliquons maintenant le théorème fondamental de l'algèbre. Dans cette partie, nous présenterons plusieurs exemples pratiques qui nous permettront de mieux comprendre le concept en ce qui concerne la factorisation et la résolution des polynômes. Par souci de simplicité, nous utiliserons l'abréviation FTA pour définir le théorème fondamental de l'algèbre.
Identifier le nombre de racines d'un polynôme
En utilisant le FTA, détermine le nombre de racines du polynôme
Solution
Le degré de f(x) est n = 4, donc, par FTA, nous avons 4 solutions.
À l'aide de la méthode FTA, détermine le nombre de racines du polynôme.
Solution
Le degré de f(x) est n = 7, donc, par FTA, nous avons 7 solutions.
Par conséquent, à partir de la FTA, nous pouvons facilement déduire que :
un polynôme linéaire (degré 1) aura une racine
un polynôme quadratique (degré 2) aura deux racines
un polynôme cubique (degré 3) aura trois racines
un polynôme du nième degré aura n racines
Identifier les zéros et le degré d'une équation
Définissons d'abord une forme spécifique de polynôme factorisé comme ci-dessous :
Un polynôme p(x) de la forme
peut être réécrit comme un produit de facteurs linéaires sous la forme suivante
où sont les racines du polynôme.
Étant donné le polynôme factorisé ci-dessous, détermine le nombre de racines que chaque équation possède et trouve toutes ses solutions,
détermine le nombre de racines de chaque équation et trouve toutes leurs solutions.
Solution
En fixant f(x) = 0 et en utilisant la propriété du produit nul, nous trouvons que les racines sont
Comme il y a 3 racines au total, le polynôme doit avoir un degré de 3.
Etant donné le polynôme factorisé ci-dessous, détermine le nombre de racines de chaque équation,
détermine le nombre de racines de chaque équation et trouve toutes leurs solutions.
Solution
De la même façon que précédemment, nous trouvons que les zéros du polynôme sont
Comme il y a 6 zéros au total, par FTA, le polynôme doit avoir un degré de 6.
Précédemment, nous avons mentionné que les racines complexes se présentent toujours par paires conjuguées. Cela signifie que les polynômes de degré pair peuvent être composés soit de toutes les racines réelles, soit de toutes les paires de racines complexes (ou d'une combinaison des deux). Les polynômes de degré impair, cependant, ne peuvent pas être constitués de toutes les paires de racines complexes. Dans ce cas, il sera constitué d'une combinaison de racines réelles et de paires de racines complexes (ou uniquement de racines réelles). Nous allons le démontrer à l'aide des exemples suivants.
Factorise et résous le polynôme ci-dessous.
Solution
Nous définissons d'abord f(x) = 0 comme
Observe qu'il s'agit d'une différence de deux carrés. D'après les produits spéciaux, nous savons que cela devient
De même, nous pouvons factoriser sous la forme
En résolvant ce problème, nous obtenons
Ce polynôme a un degré pair de 4. Nous avons donc 4 racines composées de 2 racines réelles et de 2 racines complexes conjuguées.
Factorise et résous le polynôme ci-dessous.
Solution
En fixant f(x) = 0, on obtient
En utilisant la méthode de regroupement, nous pouvons factoriser ce polynôme comme suit
En le résolvant, on obtient
Ce polynôme a un degré impair de 3. Nous obtenons donc 3 racines composées d'une racine réelle et de 2 racines complexes conjuguées.
Jusqu'à présent, nous avons étudié les polynômes qui peuvent être factorisés comme un produit de facteurs linéaires. Dans certains cas, nous pouvons rencontrer des quadratiques irréductibles. Un quadratique irréductible est un quadratique que nous ne pouvons plus décomposer en un produit de facteurs linéaires.
Prends les deux derniers exemples par exemple. Les expressions x2 + 9 et x2 + 4 sont des exemples de quadratiques irréductibles. Nous constatons que ces expressions sont constituées d'un produit de 2 racines complexes conjuguées. Ici,
La multiplication d'une paire de racines complexes conjuguées prend la formule générale :
Cela nous amène à la question suivante : que faire si la quadratique irréductible n'est pas de la forme ci-dessus ? Il nous faut donc trouver une méthode pour identifier une quadratique irréductible. Pour ce faire, nous utiliserons le discriminant d'un polynôme quadratique. Voici une règle générale que nous devrions suivre lorsque nous rencontrons de telles quadratiques.
Le discriminant d'une équation quadratique
Pour un polynôme quadratique
le discriminant décrit les racines du polynôme. Il y a trois cas à considérer ici.
Cas 1 : D > 0
p(x) peut être réduit davantage en un produit de facteurs linéaires. Nous obtiendrons deux racines réelles distinctes .
Cas 2 : D = 0
p(x) peut être réduit davantage en un produit de multiplicités. Nous obtiendrons une racine réelle répétée.
Cas 3 : D < 0
p(x) devient une quadratique irréductible. Nous obtiendrons deux racines complexes conjuguées .
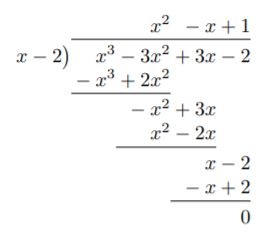
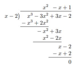
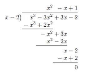
Factorise et résous le polynôme ci-dessous.
Solution
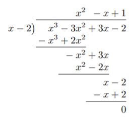
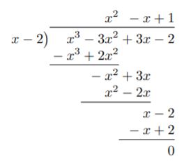
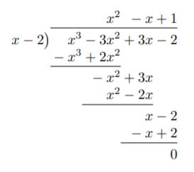
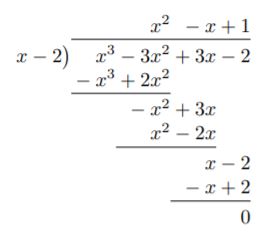
En fixant f(x) = 0, on obtient .
Par FTA, nous observons que f(x) a un degré de n = 3, et que nous devons donc avoir 3 solutions. En utilisant la division longue, nous pouvons factoriser f(x) comme suit .

A partir de là, nous pouvons voir que l'équation
est une quadratique irréductible puisque le discriminant est inférieur à zéro comme ci-dessous.
Nous devons donc utiliser la formule quadratique pour résoudre les deux racines restantes sous la forme suivante
Par conséquent, nous avons une racine réelle, x = 2 et une paire de racines complexes conjuguées
Construction d'un polynôme à l'aide de FTA
Dans cette dernière section, nous montrerons deux exemples travaillés qui démontreront comment nous pouvons utiliser FTA pour créer un polynôme à partir d'un énoncé donné.
Écris une expression algébrique sous la forme polynomiale standard où les zéros sont 3 et -5. Le polynôme a un degré de 3 et la racine -5 a une multiplicité de 2.
Solution
Si les zéros du polynôme, disons f(x) sont 3 et -5, alors f(x) aura les facteurs (x - 3) et (x + 5).
Nous savons également que le degré de f(x) est 3, donc par FTA, nous devons avoir 3 racines ou en d'autres termes, 3 facteurs. Ainsi, f(x) ressemblerait à
Nous savons également que la multiplicité de -5 est 2, donc nous devons avoir deux facteurs de (x + 5). Nous obtenons donc
En développant ce résultat à l'aide de la méthode FOIL, nous obtenons la forme standard de f(x) sous la forme suivante
Écris une expression sous la forme polynomiale standard où les zéros sont -3, -4i et 4i. La racine -3 a une multiplicité de 2. Quel est le degré de ce polynôme ?
Solution
Puisque -4i et 4i sont une paire de racines complexes conjuguées, nous pouvons utiliser le produit de deux paires complexes conjuguées. Si les zéros du polynôme, disons f(x), sont -3, -4i et 4i, alors f(x) aura des facteurs de (x + 3) et (x2 + 16).
Nous savons également que la multiplicité de -3 est 2, donc nous devons avoir deux facteurs de (x + 3). Ainsi, nous obtenons la forme complètement factorisée ci-dessous.
D'après l'énoncé et la forme factorisée ci-dessus, nous constatons que f(x) contient 4 racines : 2 racines réelles répétées, x = -3, et une paire de racines complexes conjuguées, x = -4i et x = 4i. Donc, par FTA, f(x) doit être d'un degré 4.
En développant ceci à l'aide de la méthode FOIL, nous obtenons la forme standard de f(x) comme suit
Théorème fondamental de l'algèbre - Principaux enseignements
- Le théorème fondamental de l'algèbre stipule qu'un polynôme p(x) de degré n a n racines lorsque p(x) = 0.
- Un polynôme de la forme p(x) =an xn + ... + a1x1 + a0, peut être factorisé en un produit de facteurs linéaires de la forme p(x) = a( x - r1) ( x - r2) ... ( x - rn) .
- Les zéros d'un polynôme peuvent se présenter sous la forme de nombres réels, de multiplicités ou de nombres complexes.
- Les nombres complexes se présentent toujours sous la forme d'une paire de conjugués complexes.
- Un polynôme peut être factorisé en un produit des deux formes suivantes :
- un facteur linéaire
- un facteur quadratique irréductible
- Une multiplicité est une racine répétée, c'est-à-dire un facteur qui apparaît plus d'une fois dans une expression.