Cependant, les acides carboxyliques ne participent pas vraiment à de nombreuses autres réactions. Cela est dû au fait qu'ils contiennent le groupe fonctionnel hydroxyle, \( -OH \). Ce groupe particulier, \( -OH \), est un très mauvais groupe partant. Il n'est pas stable seul et préfère faire partie d'une autre molécule, comme un acide carboxylique. Néanmoins, les proches cousins des acides carboxyliques, appelés dérivés d'acides, réagissent beaucoup plus facilement avec diverses substances, y compris dans les réactions d'acylation.
- Ce résumé de cours porte sur les réactions d'acylation en chimie organique.
- Nous définirons l'acylation avant de nous intéresser aux dérivés de l'acide.
- Nous verrons ensuite les différentes réactions d'acylation par addition-élimination nucléophile, y compris leurs produits et leurs mécanismes.
- Nous explorerons également l'acylation de Friedel-Crafts et l'acylation du toluène.
- Enfin, nous examinerons le taux d'acylation et les utilisations de l'acylation.
Qu'est-ce qu'une acylation ?
Une réaction d'acylation est une réaction qui consiste à ajouter un groupe acyle à une autre molécule.
Dans les réactions d'acylation, nous introduisons le groupe acyle, \( -RCO- \) , à une autre molécule. Le groupe acyle provient d'une molécule appelée agent d'acylation. Les agents d'acylation les plus courants sont les chlorures d'acyle et les anhydrides d'acide. Les chlorures d'acyle et les anhydrides d'acide sont tous deux des exemples de dérivés d'acide.
Les dérivés d'acide sont des molécules qui proviennent d'acides carboxyliques. Ils contiennent tous le groupe acyle, \( -RCO- \) , et ont la structure générale \( RCOZ \) .
Groupement acyle
Si tu prends un acide carboxylique et que tu échanges le groupe hydroxyle \( (-OH) \) contre un atome de chlore, tu obtiens un chlorure d'acyle. Ils ont la structure générale \( RCOCl \) . Leur groupe Z est un atome de chlore.
D'autre part, si tu prends deux acides carboxyliques et que tu les réunis en utilisant un atome d'oxygène de l'un de leurs groupes hydroxyle (en libérant de l'eau au cours du processus), tu obtiens un anhydride d'acide. Ils ont la structure générale \( RCOOCOR' \) .
On peut penser que les anhydrides d'acide ont deux groupes fonctionnels acyle, mais pour les besoins de ces réactions, il est beaucoup plus facile de considérer le groupe \( -OCOR' \) comme leur groupe \( Z \) .
Fig.1- La structure générale des dérivés d'acide.
Pour tes examens, tu ne dois connaître que les réactions d'acylation avec un anhydride symétrique - celui qui est fait à partir de deux molécules du même acide carboxylique. Cela signifie que leurs deux groupes R, R et R', sont identiques. On peut représenter la molécule par \( (RCO)_2O \) .
Consulte le résumé de cours Dérivés de l'acide pour en savoir plus sur les chlorures d'acyle et les anhydrides d'acide.
Dans cette explication, nous allons nous concentrer sur la façon dont les dérivés d'acide réagissent dans deux types différents de réactions d'acylation :
- Les réactions d'addition-élimination nucléophile avec l'eau, les alcools, l'ammoniac et les amines primaires.
- L'acylation de Friedel-Crafts du benzène, qui est une réaction de substitution électrophile.
Réaction d'acylation
Pour commencer, concentrons-nous sur l'acylation par addition-élimination nucléophile. Ces réactions impliquent des dérivés d'acides et un nucléophile spécifique : soit de l'eau, un alcool primaire, de l'ammoniac ou une amine primaire.
Les dérivés d'acides sont des molécules polaires. Ils contiennent un atome d'oxygène partiellement chargé négativement et un atome de carbone partiellement chargé positivement :
Fig.2- polarité des dérivés d'acide.
Cela signifie que les dérivés d'acide peuvent être attaqués par des nucléophiles.
Un nucléophile est un donneur de paires d'électrons, contenant une paire d'électrons solitaires et une charge négative ou partiellement négative.
Les nucléophiles courants sont l'eau, les alcools, l'ammoniac et les amines primaires. En tant que nucléophiles, ils sont attirés par les zones de déficit en électrons. Dans ce cas, ils sont attirés par l'atome de carbone partiellement chargé positivement du dérivé de l'acide, et ils réagissent dans une réaction d'addition-élimination nucléophile d'acylation. Cette réaction a un mécanisme en deux étapes :
- Dans la première étape, le nucléophile s'ajoute au dérivé d'acide pour former un intermédiaire.
- Dans la deuxième étape, le groupe Z est éliminé de la molécule intermédiaire.
Globalement, un des atomes d'hydrogène du nucléophile est échangé contre les groupes acyles du dérivé de l'acide.
Voyons maintenant des exemples de réactions d'addition-élimination nucléophiles avec chacun de ces nucléophiles. Nous verrons comment ils réagissent avec les chlorures d'acyle et les anhydrides d'acide et nous apprendrons le mécanisme et les produits de chaque réaction.
Acylation de l'eau
La première série de réactions que nous allons examiner fait intervenir l'eau comme nucléophile.
Acylation de l'eau : mécanisme
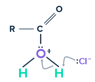
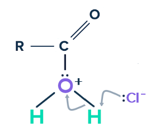
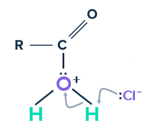
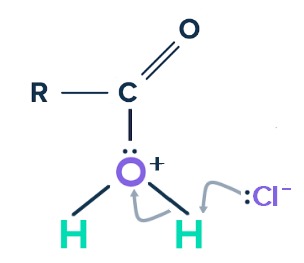
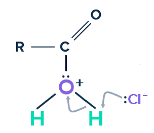
Pour commencer, examinons la réaction entre un chlorure d'acyle et l'eau. Il s'agit probablement de la plus simple des réactions d'acylation par addition-élimination nucléophile et elle te montre le mécanisme général de la réaction. Elle produit un acide carboxylique \( (RCOOH) \) et de l'acide chlorhydrique \( (HCl) \) .

| Dans ce cas, le nucléophile est l'eau, qui attaque le carbone partiellement chargé avec l'une de ses paires d'électrons solitaires. Cela pousse l'une des paires d'électrons de liaison de la double liaison \( C=O \) vers l'atome d'oxygène. |

| L'atome d'oxygène est maintenant un ion oxygène chargé négativement. Le doublet électronique reforme la double liaison \( C=O \) , ce qui rompt la liaison \( C-Cl \) .L'atome de chlore prend la paire d'électrons et est libéré sous forme d'ions chlorure. |

| L'ion chlorure attaque l'un des atomes d'hydrogène qui faisaient initialement partie de la molécule d'eau, formant ainsi de l'acide chlorhydrique. |

| Le produit organique est un acide carboxylique. |
Voici l'équation globale :
$$ RCOCl + H_2O \rightarrow RCOOH + HCl $$
Anhydrides d'acide
Les anhydrides d'acide sont produits par une réaction d'élimination entre deux acides carboxyliques. La réaction d'un anhydride d'acide avec l'eau dans une réaction d'addition-élimination nucléophile est simplement l'inverse - elle réforme les deux molécules d'acide carboxylique.
Voici l'équation générale :
$$ (RCO)_2O + H_2O \rightarrow 2RCOOH $$
Par exemple, la réaction de l'anhydride éthanoïque avec l'eau produit deux molécules d'acide éthanoïque.
Fig.4- La réaction d'acylation entre l'anhydride éthanoïque et l'eau.
Encore une fois, voici l'équation :
$$ (CH_3CO)_2O + H_2O \rightarrow 2CH_3COOH $$
La plupart des commissions d'examen n'exigent pas que tu connaisses le mécanisme de cette réaction, mais assure-toi de consulter le tien - tu ne veux pas te faire prendre !
Acylation de l'alcool
La réaction d'acylation entre des dérivés d'acides et un alcool primaire est très similaire à leur réaction avec l'eau. Lorsque tu dessines ton mécanisme, il suffit de remplacer l'un des atomes d'hydrogène de la molécule d'eau par un groupe alkyle. Cette réaction se produit également avec le phénol.
Chlorure d'acyle
La réaction d'un alcool primaire avec un chlorure d'acyle produit un ester \( (RCOOR') \) et de l'acide chlorhydrique \( (HCl) \) . Voici l'équation :
$$RCOCl + R'OH \rightarrow RCOOR' + HCl $$
Prenons l'exemple du chlorure d'éthanoyle et du méthanol. La réaction produit de l'acide chlorhydrique et de l'éthanoate de méthyle \( (CH_3COOCH_3) \) .
Fig.5- Mécanisme de l'acylation par addition élimination nucléophile du méthanol à l'aide du chlorure d'éthanoyle.
Remarque : lors de la dénomination de ces esters, la première partie du nom provient du dérivé acide , tandis que la seconde partie provient du nucléophile alcoolique.
Acylation d'alcools primaires avec des anhydrides d'acide
La réaction des anhydrides d'acide avec un alcool primaire produit un ester et un acide carboxylique :
$$ (RCO)_2O + R'OH \rightarrow RCOOR' + RCOOH $$
Par exemple, lorsque nous faisons réagir l'anhydride éthanoïque avec le méthanol, nous obtenons également de l'éthanoate de méthyle. Cependant, le second produit est un acide carboxylique basé sur l'anhydride d'acide. On obtient ici l'acide éthanoïque \( (CH_3COOH) \) :
$$ (CH_3CO)_2O + CH_3OH \rightarrow CH_3COOCH_3 + CH_3COOH $$
Fig.6- La réaction entre le méthanol et l'anhydride éthanoïque.
Acylation de l'ammoniac
La réaction de dérivés d'acides avec l'ammoniac produit un amide et un sel d'ammonium. Cette réaction utilise le même mécanisme que les deux réactions ci-dessus, mais il y a une étape supplémentaire impliquant une molécule supplémentaire d'ammoniac.
Acylation de l'ammoniac avec des chlorures d'acyle
La réaction de l'ammoniac avec un chlorure d'acyle produit un amide et de l'acide chlorhydrique. Cependant, l'acide chlorhydrique réagit ensuite avec une molécule supplémentaire d'ammoniac pour produire du chlorure d'ammonium \( (NH_4Cl) \) :
$$ RCOCl + 2NH_3 \rightarrow RCONH_2 + NH_4Cl $$
Regarde la réaction entre le chlorure d'éthanoyle et l'ammoniac. La réaction initiale produit de l'éthanamide \( (CH_3CONH_2) \) et de l'acide chlorhydrique ; l'acide chlorhydrique réagit ensuite avec une autre molécule d'ammoniac pour produire du chlorure d'ammonium.

| L'ammoniac, un nucléophile, attaque l'atome de carbone partiellement chargé avec sa paire d'électrons solitaires. Cela pousse l'une des paires d'électrons de liaison de la double liaison C=O vers l'atome d'oxygène. |

| L'atome d'oxygène est maintenant un ion oxygène chargé négativement. Le doublet électronique reforme la double liaison \(C=O \) , ce qui rompt la liaison \( C-Cl \) . L'atome de chlore prend la paire d'électrons et est libéré sous forme d'ion chlorure. |

| L'ion chlorure attaque l'un des atomes d'hydrogène qui faisait initialement partie de la molécule d'ammoniac, formant ainsi de l'acide chlorhydrique. |

| Le produit organique est un amide. Ici un produit éthanamide. L'acide chlorhydrique réagit également avec une autre molécule d'ammoniac pour former un sel d'ammonium. Dans ce cas, nous produisons du chlorure d'ammonium. |
La réaction globale se déroule entre le chlorure d'éthanoyle et deux molécules d'ammoniac, produisant de l'éthanamide et du chlorure d'ammonium.
L'autre produit de cette réaction est ce que l'on appelle un amide. Un amide est une molécule organique qui contient le groupe amine \( (NH_2) \) à côté du groupe carbonyle \( (C=O) \) .
Les amides font l'objet d'un article spécifique (consulte la rubrique Amide pour en savoir plus). Nous te recommandons de le consulter si tu ne sais pas comment nommer les amides, car cela rendra les prochaines réactions beaucoup plus faciles à comprendre !
Acylation de l'ammoniac avec des anhydrides d'acide
Si l'on fait réagir un anhydride d'acide avec un excès d'ammoniac, on obtient à nouveau un amide. La réaction initiale produit également un acide carboxylique. Cependant, une deuxième molécule d'ammoniac réagit avec l'acide carboxylique pour produire un sel d'ammonium.
Voici l'équation :
$$ (RCO)_2O + 2NH_3 \rightarrow RCONH_2 + RCOONH_4 $$
Par exemple, la réaction entre l'anhydride éthanoïque et l'ammoniac produit de l'éthanamide \( (CH_3CONH_2) \) et de l'éthanoate d'ammonium \( (CH_3COONH_4 ) \) :
$$ (CH_3CO)_2O + 2NH_3 \rightarrow CH_3CONH_2 + CH_3COONH_4 $$
Fig.8- La réaction entre l'anhydride éthanoïque et l'ammoniac.
N-acylation des amines primaires
Beaucoup d'informations nouvelles t'ont été données, mais il nous reste à examiner un autre type de réaction d'acylation par addition-élimination nucléophile : la réaction de dérivés d'acides avec des amines primaires. Cette réaction est très similaire à leurs réactions avec l'ammoniac - lorsque tu dessines le mécanisme, il suffit de remplacer l'un des atomes d'hydrogène de l'ammoniac par un groupement \( R \).
La réaction produit un amide N-substitué et un sel d'ammonium différent.
Acylation d'amines primaires avec des chlorures d'acyle
Si tu fais réagir un chlorure d'acyle avec une amine primaire, tu obtiens un amide N-substitué et un sel d'ammonium :
$$ RCOCl + 2 NH_2R' \rightarrow RCONHR' + R'NH_3Cl $$
La réaction du chlorure de propanoyle \( (CH_3CH_2COCl) \) avec la méthylamine \( (NH_2CH_3) \) donne le N-méthylpropanamide \( (CH_3CH_2CONHCH_3) \) et le chlorure de méthylammonium \( (CH_3NH_3Cl) \) :
$$CH_3CH_2COCl + 2NH_2CH_3 \rightarrow CH_3CH_2CONHCH_3 + CH_3NH_3Cl $$
Il y a beaucoup de groupes \( R \) et de chaînes de carbone différents impliqués dans cette réaction, et nous les avons donc mis en évidence dans le diagramme ci-dessous pour t'aider à comprendre un peu mieux le processus.
Fig.9- La réaction entre le chlorure de propanoyle et la méthylamine. Les groupes R sont mis en évidence, afin que tu puisses mieux comprendre la réaction.
Acylation d'amines primaires avec des anhydrides d'acide
Si tu fais réagir un anhydride d'acide avec une amine primaire, tu obtiens un amide N-substitué et un sel d'ammonium différent :
$$ (RCO)_2O + 2NH_2R' \rightarrow RCONHR' + R'NH_3OCOR$$
La réaction de l'anhydride propanoïque \( ((CH_3CH_2CO)_2O) \) avec la méthylamine produit également du N-méthylpropanamide. La réaction initiale produit également un acide carboxylique basé sur le dérivé de l'acide. Comme nous avons commencé par l'anhydride propanoïque, nous produisons de l'acide propanoïque. Celui-ci réagit ensuite avec une autre molécule de méthylamine pour produire un autre sel d'ammonium. Ici, nous produisons du propanoate de méthylammonium \( (CH_3NH_3OCOCH_2CH_3) \) :
$$ (CH_3CH_2CO)_2O + 2NH_2CH_3 \rightarrow CH_3CH_2CONHCH_3 + CH_3NH_3OCOCH_2CH_3 $$
Fig.10- La réaction entre l'anhydride propanoïque et la méthylamine. Les groupes R sont mis en évidence.
Comparaison des réactions d'acylation d'addition-élimination nucléophile
Ouf - tu as réussi !
Le tableau suivant devrait t'aider à consolider tes nouvelles connaissances sur les réactions d'acylation par addition-élimination nucléophile. Choisis simplement un dérivé d'acide et un nucléophile, et lis le tableau pour trouver tes produits.
Nucléophile | Chlorure d'acyle | Anhydride d'acide |
| Produits | conditions | Produits | conditions |
| Eau | Acide carboxylique acide chlorhydrique | Température ambiante | Acide carboxylique | Chaleur |
| Alcool primaire (y compris le phénol) | Ester acide chlorhydrique | Ester acide carboxylique |
| Ammoniac | Amide chlorure d'ammonium | Amide sel d'ammonium |
| Amine primaire | Amide N-substitué Sel d'ammonium | Amide N-substitué Sel d'ammonium |
Il peut être difficile de se souvenir de toutes les réactions d'addition-élimination nucléophiles. Cependant, elles suivent toutes des mécanismes similaires. Au lieu d'essayer de te souvenir de chaque réaction individuellement, apprends à appliquer quelques exemples à une variété de combinaisons différentes de réactifs.
Facteurs affectant l'acylation
Certaines réactions d'acylation par addition-élimination nucléophile se produisent beaucoup plus rapidement que d'autres. Cela est dû à de nombreux facteurs différents.
- La charge partielle de l'atome de carbone.
- Le groupe Z du dérivé de l'acide.
- La force du nucléophile impliqué.
Charge partielle
Comme nous l'avons vu plus haut, l'atome de carbone du dérivé de l'acide qui est relié à l'atome d'oxygène et au groupe Z est partiellement chargé négativement. L'intensité de cette charge partielle varie en fonction du degré d'électronégativité du groupement Z. Un groupe Z plus électronégatif attirera plus fortement la paire d'électrons partagée vers lui, augmentant ainsi la charge positive partielle de l'atome de carbone.
Imagine une lutte à la corde entre toi et ton ami. Un morceau de tissu noué au milieu de la corde représente la paire d'électrons partagée impliquée dans la liaison covalente entre vous deux. Si tu es beaucoup plus fort que ton ami, tu seras capable de tirer la corde et le tissu vers toi. Tu as attiré les électrons vers toi. On peut dire que tu es plus électronégatif que ton ami. Ton ami est donc déficitaire en électrons et donc partiellement chargé positivement. Un atome de carbone avec une charge plus élevée sera attaqué par les nucléophiles beaucoup plus facilement, car les nucléophiles sont chargés négativement ou partiellement négativement.
Capacité de départ du groupe Z
Certains groupes Z sont de meilleurs groupes de départ que d'autres. Cela augmente leur réactivité. Nous n'essaierons pas d'en expliquer les raisons ici, mais cela implique des choses comme l'électronégativité, la taille et la résonance.
Toutefois, tu dois savoir que les ions chlorure sont un bien meilleur groupe partant que les ions carboxylate, de sorte que les chlorures d'acyle sont plus réactifs que les anhydrides d'acide. Ainsi, toutes les réactions d'addition-élimination nucléophiles impliquant des chlorures d'acyle ont lieu à température ambiante et sont extrêmement exothermiques, alors que celles impliquant des anhydrides d'acide doivent être chauffées doucement.
Force du nucléophile
Les nucléophiles plus forts attaqueront plus facilement l'atome de carbone partiellement chargé du dérivé acide que les nucléophiles plus faibles. Là encore, cela est dû à des facteurs que nous n'allons pas essayer d'expliquer maintenant, mais qui incluent la charge et la basicité.
Nous avons exploré les réactions entre les dérivés d'acides et quatre nucléophiles différents. Ces nucléophiles ont tous une force différente. Leurs forces relatives sont indiquées ci-dessous :
$$ amine \space primaire > ammoniac > alcool \space primaire > eau$$
Les réactions d'acylation impliquant une amine primaire se produisent donc beaucoup plus rapidement que celles impliquant de l'eau.
Acylation de Friedel-Crafts
Tu te souviens que nous avons dit qu'il y avait deux types de réactions d'acylation ? La seconde est connue sous le nom d'acylation de Friedel-Crafts. Elle est utilisée pour ajouter le groupe acyle à des molécules aromatiques telles que le benzène.
La réaction qui consiste à remplacer un ou plusieurs atomes d'hydrogène d'un composé organique, comme le benzène, par un groupe acyle. On appelle cette réaction l'acylation.
Cette acylation a été mise au point par le chimiste organique français Charles Friedel et le chimiste américain James Mason krafts en 1877. Pour cette raison, cette réaction est appelée acylation de Friedel-Crafts.
Comme dans les réactions d'acylation par nucléophile, l'acylation de Friedel-Crafts fait intervenir des dérivés d'acide. Mais cette réaction diffère, car elle utilise un mécanisme de substitution électrophile. Elle utilise également un catalyseur, le chlorure d'aluminium (III) \( (AlCH_3 )\).
La réaction globale comporte plusieurs étapes :
- Le dérivé acide réagit avec le catalyseur pour former un électrophile.
- L'électrophile est attiré par le cycle d'électrons délocalisés de la molécule aromatique.
- L'électrophile se lie à la molécule aromatique, ce qui entraîne la rupture d'une des liaisons hydrogène de la molécule aromatique.
- L'ion hydrogène libéré est utilisé pour régénérer le catalyseur.
- Globalement, on remplace l'électrophile par un atome d'hydrogène.
Les produits dépendent du dérivé d'acide utilisé. Nous produisons toujours une cétone aromatique de structure \( C_6H_5COR \) ; nous nommons ces molécules en utilisant le préfixe \( phényl- \) .
Nous produisons également la molécule \( HZ \), où \( Z \) est le groupe \( Z \) du dérivé de l'acide. Cela signifie que si notre dérivé d'acide est un chlorure d'acyle, nous produisons aussi de l'acide chlorhydrique \( (HCl) \) . En revanche, si notre dérivé acide est un anhydride d'acide, nous produisons ainsi un acide carboxylique \( (RCOOH) \).
Fig.11- Acylation de Friedel-Crafts du benzène.
Par exemple, si tu fais réagir le benzène avec le chlorure d'éthanoyle \( (CH_3COCl) \) en présence d'un catalyseur de chlorure d'aluminium (III), tu produis de la phényléthanone \( (C_6H_5COCH_3) \) et de l'acide chlorhydrique. Si tu fais réagir le benzène avec l'anhydride éthanoïque \( (CH_3CO)_2O) \) , tu obtiens également de la phényléthanone, mais au lieu de l'acide chlorhydrique, tu obtiens de l'acide éthanoïque \( (CH_3COOH) \).
$$C_6H_6 + CH_3COCl \rightarrow C_6H_5COCH_3 + HCl $$
$$ C_6H_6 + (CH_3CO)_2O \rightarrow C_6H_5COCH_3 + CH_3COOH $$
Rends-toi sur la page Réactions du benzène pour en savoir plus sur l'acylation de Friedel-Crafts. Si tu veux connaître le mécanisme de cette réaction, tu le trouveras dans le résumé du cours Substitution électrophile du benzène.
Acylation du toluène
Effet d'orientation
Dans la molécule de toluène, le groupe méthyle est considéré comme un substituant, ce qui influence l'entrée de l'autre groupe.
Le groupe méthyle est un groupe donneur d'électrons. Par suite, il augmente la densité électronique dans la région du benzène par hyperconjugaison.
Fig.12- Toluène.
Le groupe méthyle augmente la densité électronique en positions ortho et para dans la molécule de toluène.
Fig.13- la densité électronique en positions ortho et para dans la molécule de toluène.
Les positions ortho et para deviennent riches électroniquement en raison de la présence du groupe méthyle. Pour cette raison, le groupe méthyle est dit groupe directeur ortho para.
Ce groupe est également connu sous le nom de groupe activateur du cycle benzénique.
Réaction du toluène avec le chlorure d'éthanoyle
Le toluène est traité avec un chlorure d'acyle comme le chlorure d'éthanoyle en présence de chlorure d'aluminium anhydre.
Fig.14- Acylation du toluène
Le \( CH_3COCl \) produit l'éthanol-cation \( CCH_3CO^+ \) qui attaque le cycle benzénique.
En même temps, les atomes d'hydrogène du cycle benzénique partent en tant qu'électrophile \( H^+ \) .
Produits
Cette réaction est appelée réaction de substitution électrophile lorsque l'électrophile attaque le cycle benzénique.
Généralement, le groupe méthyle du toluène dirige les nouveaux groupes vers les positions \( 2 \) et \( 4 \) (en supposant que le groupe méthyle soit en position :
- Si l’électrophile attaque la position ortho, alors le produit obtenu est 2-méthylphényléthanone.
- Si l'électrophile attaque la position para, alors le produit obtenu est 4-méthylphényléthanone.
En raison de l'encombrement stérique en position ortho, le produit para (4-méthylphényléthanone) est le produit majoritaire.
Utilisations de l'acylation
Nous allons maintenant examiner certaines des utilisations de l'acylation.
Tout d'abord, tu remarqueras que la réaction de chlorures d'acyle ou d'anhydrides d'acide avec un alcool produit un ester. Nous pouvons également fabriquer des esters en faisant réagir un acide carboxylique avec un alcool dans une réaction d'estérification. Cette réaction est réversible, alors que l'acylation essaie d'aller jusqu'au bout. C'est pourquoi l'acylation est souvent préférée à l'estérification, car elle donne un meilleur rendement. Cependant, le choix des dérivés de l'acide est important. Nous avons tendance à utiliser un anhydride d'acide plutôt qu'un chlorure d'acyle pour fabriquer des esters pour les raisons suivantes :
- C'est moins cher.
- C'est une réaction plus lente et mieux contrôlée.
- Elle ne produit pas d'acide chlorhydrique, qui est un gaz corrosif.
Les esters sont des éléments importants de nombreux parfums et cosmétiques, grâce à leurs odeurs fruitées.
De même, l'acylation de l'ammoniac ou des amines primaires produit des amides. Ces derniers constituent des étapes utiles dans la préparation de nombreux produits pharmaceutiques.
Pour en savoir plus sur les esters et les amides, consulte leurs explications respectives, Esters et Amides.
Exemples : acylation
Un autre exemple d'une importante réaction d'acylation est la production d'aspirine. L'aspirine est fabriquée en faisant réagir un composé connu sous le nom d'acide 2-hydroxybenzoïque, d'acide 2-hydroxybenzènecarboxylique ou simplement d'acide salicylique, avec l'anhydride éthanoïque. Le -hydroxy- dans le nom de l'acide 2-hydroxybenzoïque indique que cette molécule contient un groupe hydroxyle \( (-OH) \) . L'acide 2-hydroxybenzoïque est donc un alcool primaire. Sa réaction d'acylation avec l'anhydride éthanoïque produit de l'aspirine - un ester - et de l'acide éthanoïque.
Fig.15- La structure squelettique de l'aspirine1.
L'aspirine est scientifiquement connue sous le nom d'acide 2-acétyloxybenzoïque, mais elle est également appelée acide acétylsalicylique, ou ASA. La partie salicylique de son nom te donne un indice sur ses origines - les saules. Les saules sont des arbres de la famille des Salicaceae. La mastication de l'écorce de saule est une source connue de soulagement de la douleur depuis des siècles. En fait, des médicaments à base de saule et d'autres plantes riches en salicylates sont même mentionnés dans le papyrus Ebers de l'Égypte ancienne !
Tu pourrais synthétiser et purifier l'aspirine en classe. Cela implique différentes étapes de chauffage, de refroidissement et de filtrage, le tout dans le but d'obtenir un produit pur. Tu peux ensuite calculer ton pourcentage de rendement. Il est difficile d'obtenir un rendement de 100 % à une si petite échelle dans un laboratoire. Peux-tu penser à des raisons possibles ?
Acylation - Points clés
- Les réactions d'acylation consistent à ajouter le groupe acyle \( (-RCO-) \) à une autre molécule.
- Les réactions d'acylation impliquent généralement des dérivés d'acide.
- Les dérivés d'acides sont des molécules dérivées d'acides carboxyliques.
- Ils contiennent tous un groupe acyle et ont la formule générale \( RCOZ \) .
- Les chlorures d'acyle ont la structure générale \(RCOCl \). Les anhydrides d'acide ont la structure générale \( RCOOCOR' \) .
- Dans l'acylation par addition-élimination nucléophile, le groupe acyle d'un dérivé d'acide est ajouté à un nucléophile, ce qui donne une variété de produits différents.
- Dans l'acylation de Friedel-Crafts, le groupe acyle d'un dérivé d'acide est ajouté à une molécule aromatique telle que le benzène.
- La vitesse d'acylation dépend de la charge partielle de l'atome de carbone, de la capacité de départ du groupe Z et de la force du nucléophile utilisé.
- L'acylation est utilisée pour fabriquer le médicament aspirine.
References
- commons.wikimedia.org
Sujets similaires dans Physique-chimie
Comment tu t'assures que ton contenu est précis et digne de confiance ?
Chez StudySmarter, tu as créé une plateforme d'apprentissage qui sert des millions d'étudiants. Rencontre les personnes qui travaillent dur pour fournir un contenu basé sur des faits et pour veiller à ce qu'il soit vérifié.
Processus de création de contenu :
Lily Hulatt est une spécialiste du contenu numérique avec plus de trois ans d’expérience en stratégie de contenu et en conception de programmes. Elle a obtenu son doctorat en littérature anglaise à l’Université de Durham en 2022, a enseigné au Département d’études anglaises de l’Université de Durham, et a contribué à plusieurs publications. Lily se spécialise en littérature anglaise, langue anglaise, histoire et philosophie.
Fais connaissance avec Lily
Processus de contrôle de la qualité du contenu:
Gabriel Freitas est un ingénieur en intelligence artificielle possédant une solide expérience en développement logiciel, en algorithmes d’apprentissage automatique et en IA générative, notamment dans les applications des grands modèles de langage (LLM). Diplômé en génie électrique de l’Université de São Paulo, il poursuit actuellement une maîtrise en génie informatique à l’Université de Campinas, avec une spécialisation en apprentissage automatique. Gabriel a un solide bagage en ingénierie logicielle et a travaillé sur des projets impliquant la vision par ordinateur, l’IA embarquée et les applications LLM.
Fais connaissance avec Gabriel