Relation entre le pH et la solubilité
Commençons par définir le pH.
LepH est une mesure de la concentration de protons (ions  H+ ) dans une solution.
Pour savoir si une solution est considérée comme acide ou basique, nous utilisons une échelle de pH qui va de 0 à 14. Bien qu'il arrive que le pH se situe en dehors de cette plage, cela est très rare. Les solutions acides ont un pH inférieur à 7, tandis que les solutions basiques ont un pH supérieur à 7.  Une solution neutre est une solution qui présente des concentrations égales d'ions  H+ et  OH-.
  Fig. 1 : L'échelle de pH, StudySmarter Originals.
Fig. 1 : L'échelle de pH, StudySmarter Originals.
Voyons maintenant la définition de la solubilité.
La quantité d'une substance qui peut se dissoudre dans un volume donné de solvant, à une température donnée, est appelée solubilité de cette substance.
Le solvant est le liquide dans lequel les composés (solutés) sont dissous.
Le soluté est une substance (composé) qui est dissoute dans un solvant.
Une solution est la combinaison du solvant et du soluté.
Un composé qui est miscible avec quelque chose pourra être mélangé avec lui pour former une solution.
La solubilité et la séparation des mélanges sont influencées par les interactions entre les forces intermoléculaires. La règle générale est que les substances ayant des forces intermoléculaires similaires ont tendance à être miscibles les unes dans les autres. 
Pour être solubles, les forces d'attraction formées entre le soluté et le solvant lors de la formation de la solution doivent être comparables à celles rompues lors de la séparation des molécules de solvant et à celles rompues lors de la séparation des molécules de soluté.
Savais-tu que le mélange entraîne une augmentation de l'entropie? L'entropie est liée au désordre ou au caractère aléatoire d'un système ! Tu peux en apprendre davantage à ce sujet en lisant"Entropie".
Solides ioniques et Ksp
Les solidesioniques sont des solides qui sont maintenus ensemble par des liaisons ioniques. Les solides ioniques sont généralement plus solubles à des températures élevées. Les sels sont considérés comme des composés ioniques. Lorsque les sels sont dissous dans l'eau, ils se dissocient complètement en ions. Le sel de table, NaCl, est un exemple de solide ionique. 
Lorsqu'il s'agit de solides ioniques, il y a une nouvelle constante avec laquelle tu dois te familiariser. La constante du produit de solubilité (Ksp) est appelée constante d'équilibre pour un solide ionique qui se dissocie en ions dans l'eau.
Prenons un exemple !
Ecris l'expression de Ksp pour MgCO3 dans l'eau.
Cette question nous demande d'écrire une expression d'équilibre de solubilité pour MgCO3 dans l'eau. Tout d'abord, nous devons savoir comment MgCO3 se dissocie dans l'eau. Cela est donné par l'équation équilibrée ci-dessous.
 
N'oublie pas que les solides et les liquides (comme le solvant) ne sont pas inclus dans l'expression de l'équilibre de solubilité. Ainsi, l'expression du Ksp pour le MgCO3 dans l'eau serait : 
Si tu n'es pas sûr de ce qu'est Ksp , consulte la rubrique"Constante de produit de solubilité". Tu peux aussi approfondir tes connaissances sur les solides ioniques en lisant"Solides ioniques" !
 
Lasolubilité des sels est sensible au pH lorsque l'un des ions constitutifs est un acide ou une base faible. Examinons les effets du pH sur la solubilité des sels !
- Les selsacides sont plus solubles dans les solutions basiques (pH > 7), et moins solubles dans les solutions acides.  
- Lesselsbasiques  sont plus solubles dans les solutions acides (pH < 7), et moins solubles dans les solutions basiques.  
- La solubilité des sels neutres n'est pas affectée par un changement de pH.  
Solubilité molaire et pH
Nous venons d'apprendre ce qu'est la constante du produit de solubilité, Ksp. Voyons maintenant comment calculer la solubilité molaire à partir de Ksp. 
Lasolubilité mol aire est la concentration molaire du solide qui se dissocie dans l'eau. Dans un tableau de la CIE, la solubilité molaire est représentée par"x".
C'est en forgeant qu'on devient forgeron, n'est-ce pas ? Alors, résolvons un problème !
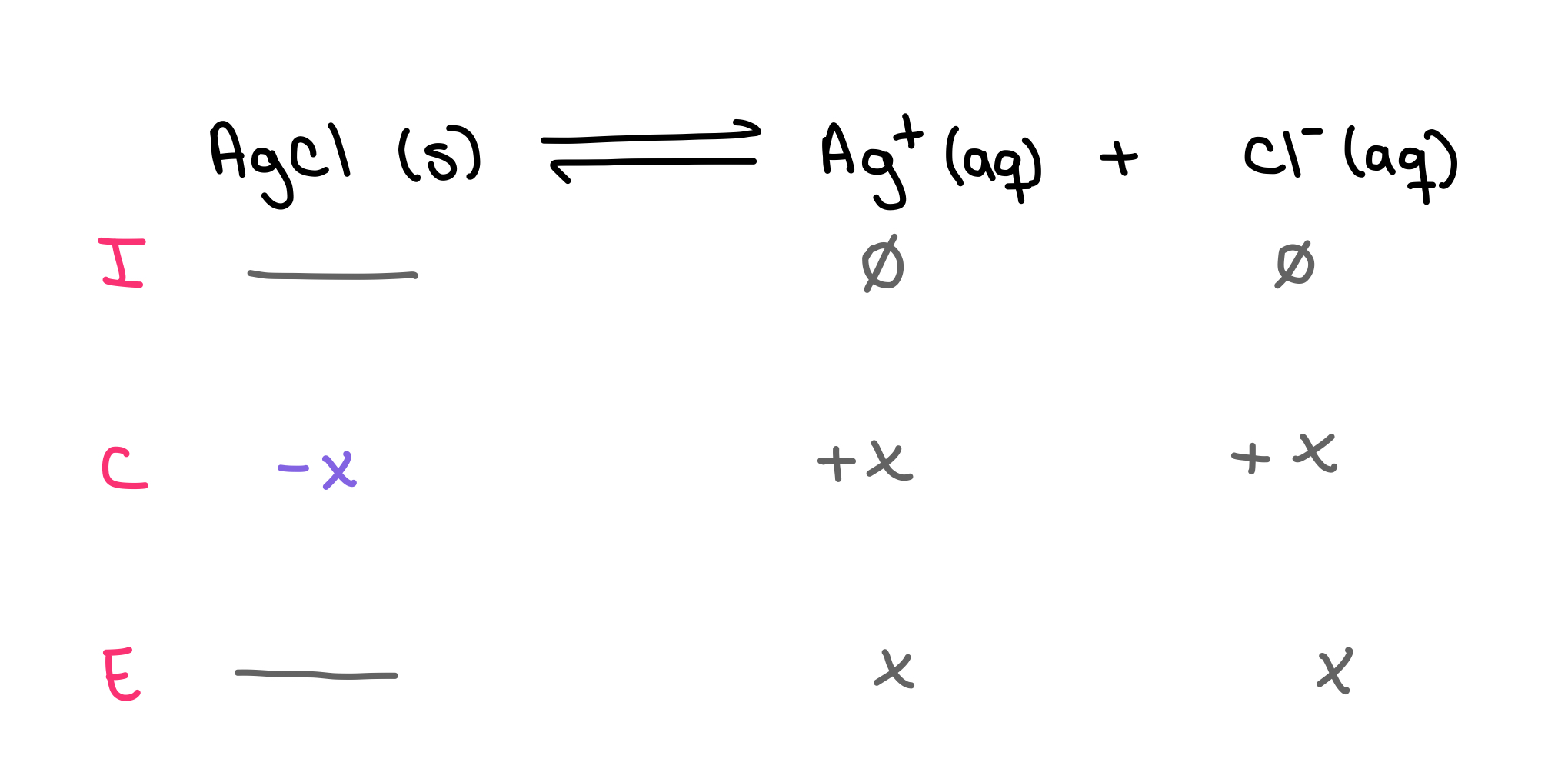
Calcule la solubilité molaire de AgCl. (Ksp = 1,8 x  10-10)
Dans l'eau, AgCl se dissocie en ions  Ag+ et  Cl-. L'expression de l'équilibre Ksp s'écrit : .
La première chose à faire est d'établir un diagramme ICE pour ce processus. L'acronyme "ICE" signifie"concentrationinitiale,"changement deconcentration" et"équationde concentration".
Au départ, il n'y a pas d'ions dans la solution, la concentration d'Ag+ et de  Cl- est donc nulle. Au fur et à mesure que le AgCl se dissocie, nous allons avoir un changement (un gain) de +x pour les deux ions,  Ag+ et  Cl-. Enfin, à l'équilibre, nous additionnons les termes des lignes "I" et "C", puis nous substituons les termes de la ligne "E" dans l'équation de Ksp. 
Étant donné que l'AgCl est un solide qui se dissout avec le temps, la seule chose que nous devons ajouter à son sujet dans le tableau de la CIE est le changement. Pour montrer que l'AgCl diminue, nous utilisons un changement (une perte) de " -x"  car la concentration molaire du solide diminue lorsqu'il se dissout dans l'eau ! En d'autres termes, la variable x représente elle-même la solubilité molaire de l'AgCl.
  Fig. 2 : Diagramme ICE pour la dissociation de AgCl, StudySmarter Originals.
Fig. 2 : Diagramme ICE pour la dissociation de AgCl, StudySmarter Originals.
Nous devons maintenant trouver la valeur de x à l'aide de l'expression de l'équilibre.
$$K_{sp}=[Ag^{+}]\cdot [Cl^{-}]\cdot 1.8\cdot 10^{-10}=x^{2}\sqrt{1.8\cdot 10^{-10}=x$$$.
$$x=1.3\cdot 10^{-5}$$$
La solubilité moléculaire de AgCl est donc de 1,3 -  10-5 M.
L'exemple ci-dessus impliquait le calcul de la solubilité molaire à partir du Ksp. Mais que se passerait-il si on nous demandait plutôt de calculer le Ksp à partir de la solubilité molaire ? Prenons un exemple. 
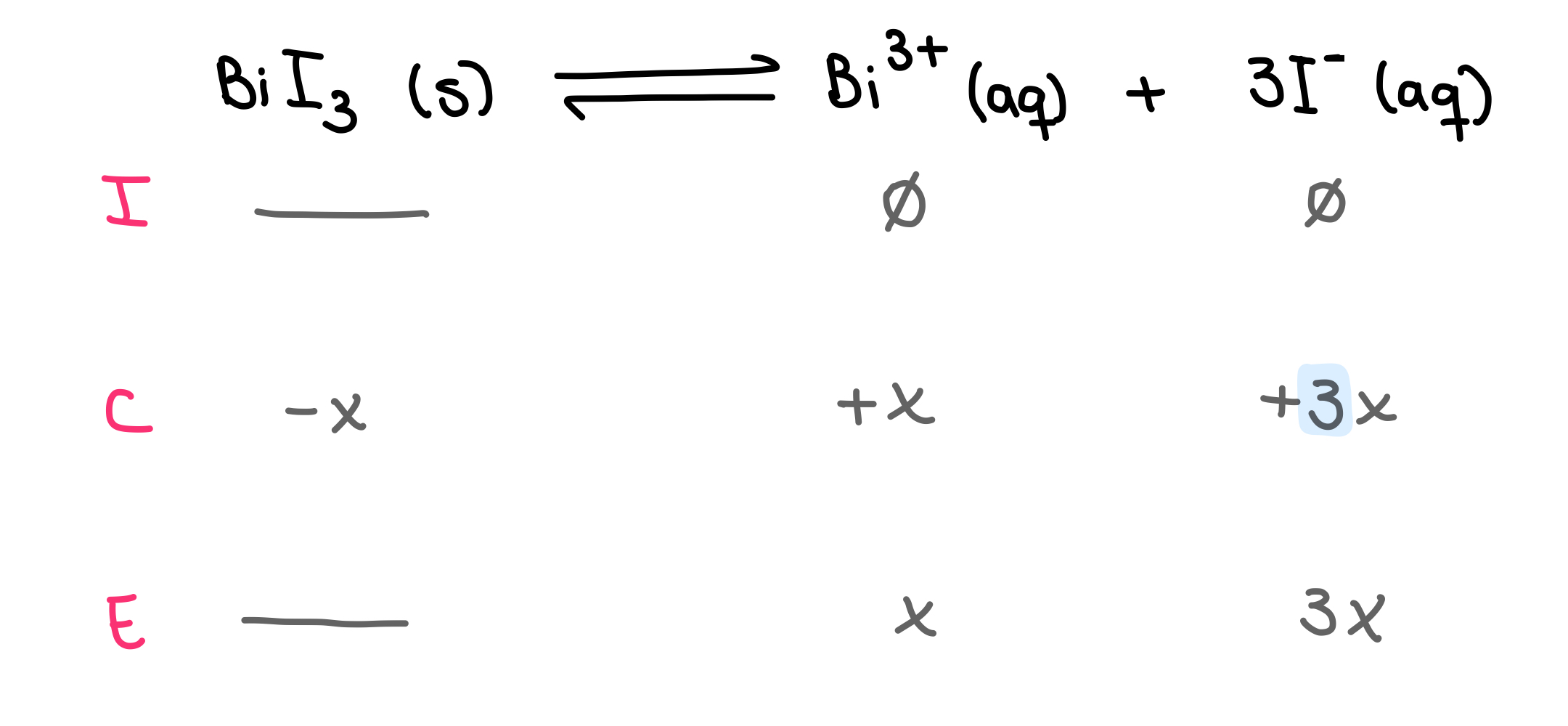
BiI3a une solubilité molaire de 1,32 x  10-5 M. Calcule la constante du produit de solubilité, Ksp.
  
Ici, l'expression de l'équilibre Ksp serait : . Maintenant, si nous décidons de faire un tableau de la CIE, nous aurons :
 
  Fig. 3 : Tableau ICE pour la dissociation de l'iodure de bismuth (III), StudySmarter Originals.
Fig. 3 : Tableau ICE pour la dissociation de l'iodure de bismuth (III), StudySmarter Originals. 
Le but de ce problème est de calculer Ksp. Nous pouvons donc utiliser l'expression de l'équilibre et la valeur de la solubilité molaire donnée par la question pour résoudre Ksp.
$$K_{sp}=[Bi^{3+}][I^{-}]^{3}=x\cdot x^{3}=27x^{4}$$
$$K_{sp}=27(1.32\cdot 10^{-5})^{4}=8.20\cdot 10^{-19}$$.
Remarque que dans ce cas, nous remplaçons la valeur de la solubilité molaire donnée par x, puis nous résolvons la constante du produit de solubilité, Ksp.
Cette façon de calculer Ksp à partir de la solubilité molaire ne fonctionne que lorsqu'il n'y a pas d'ions communs. Jette un coup d'œil à l'effet des ions communs pour en savoir plus !
Calculs de la solubilité et du pH
Maintenant, lorsque les sels réagissent avec l'eau, ils produisent un cation et un anion. Ce processus est appelé hydrolyse. 
En général, les cations ont tendance à agir comme un acide, tandis que l'anion a le potentiel d'agir comme une base. En d'autres termes, la plupart des cations sont considérés comme acides, tandis que la plupart des anions sont dits basiques.
Cependant, tous les ions n'ont pas le potentiel d'agir comme un acide ou une base. Certains d'entre eux ne possèdent aucun caractère acide/base et ne peuvent donc pas modifier ou influencer le pH de l'eau. On dit que ces ions ont une acidité ou une basicité négligeable, et on peut les considérer comme des ions neutres, ou des ions négligeables.
Un ion négligeable est une espèce ionique qui a une force hydrolytique (division de l'eau) négligeable.
Avant de plonger dans la solubilité des sels, nous devons passer en revue certaines règles utilisées pour identifier les cations et les anions négligeables. 
- La plupart des cations sont dits acides. Mais les ions métalliques des groupes 1 et 2 (ou tout métal de transition ayant une charge de +1) sont considérés comme négligeables.
- La plupart des anions, en revanche, ont tendance à être basiques (à l'exception de l'anion  HSO4-, qui est acide). D'autres exceptions comprennent les bases conjuguées des acides forts, qui sont toutes pour la plupart négligeables. 
| Cations négligeables | Anions négligeables | 
| Ions métalliques du groupe 1 (Li+,  Na+,  K+,  Rb+,  Cs+) | Bases conjuguées des acides forts (Cl-,  Br-,  I-,  NO3-,  ClO4-,  ClO3-) | 
| Les ions métalliques du groupe 2 (Mg2+, Ca2+, Sr2+, Ba2+) | Presque tous les autres anions sont des anions basiques (à l'exception de  HSO4-, qui est acide). | 
| Les ions de métaux de transition avec une charge +1 (Ex.  Ag+) |  | 
| Tous les autres cations sont considérés comme des cations acides |  | 
Nous avons vu plus haut que les selsacides sont plus solubles dans les solutions basiques (pH > 7), tandis que lesselsbasiques  sont plus solubles dans les solutions acides (pH < 7). Prenons l'exemple du fluorure de baryum (BaF2). 
Comment savoir si BaF2 est un sel acide, basique ou neutre ? 
Tout d'abord, regarde la formule du fluorure de baryum et identifie si des ions négligeables sont présents. Ba2+ est un cation acide négligeable, il est donc considéré comme négligeable et ne compte pas.  F- ne figure pas sur la liste, il n'est donc pas négligeable.
Les ions  F- (en tant qu'anion) sont considérés comme basiques. Par conséquent, nous pouvons dire que BaF2 est un sel basique ! 
Découvrons plus en détail les effets du pH sur la solubilité. Nous pouvons commencer par examiner pourquoi les sels basiques sont plus solubles dans les solutions acides. Utilisons BaF2comme sel basique. 
Selon l'effet d'ion commun, l'ajout de tout électrolyte fort contenant des ions baryum ou fluorure entraînera le déplacement de l'équilibre vers le côté gauche, réduisant ainsi la solubilité de BaF2.
Mais, si nous voulions augmenter sa solubilité, que pourrions-nous faire ? Disons que nous préparons une solution de BaF2 qui est saturée (ou qui contient la quantité maximale de BaF2 dissoute) et qui est également à l'équilibre. Si nous y ajoutons une solution acide (pH < 7), les ions  H+ ajoutés réagiront avec les ions fluorure, produisant du HF. L'équilibre se déplace alors vers la droite, ce qui oblige plus de BaF2 à se dissoudre dans cette solution acide, créant plus d'ions  F- et ramenant la réaction à l'équilibre !
Maintenant, voyons pourquoi les sels acides sont plus solubles dans les solutions basiques. Par exemple, Al(NO3)3 est un sel acide (Al3+ est un cation acide et NO3- est un anion négligeable). Si tu l'ajoutes à une solution basique (pH > 7), les ions Al3+ réagiront avec les ions OH- ajoutés pour former de l'Al(OH)3. De même, l'équilibre se déplacera vers la droite, ce qui forcera plus d'Al(NO3) à se dissoudre dans cette solution basique (à devenir plus soluble), créant plus d'ions Al3+ et ramenant la réaction à l'équilibre !
Examinons un problème impliquant la solubilité.
Que se passerait-il si tu ajoutais un acide fort à l'oxalate de plomb, PbC2O4? (Ksp = 4.8-10-10)
Si tu ajoutais un acide fort à une solution saturée d'oxalate de plomb, les ions  H+ de l'acide ajouté réagiraient avec l'ion oxalate pour former HO2CCO2H(aq).
Cette diminution des ions oxalate entraînera la dissolution d'une plus grande quantité d'oxalate de plomb dans la solution acide pour reconstituer les ions oxalate et remettre le système à l'équilibre !
pH et solubilité des protéines
Lorsque le pH de l'environnement d'une protéine change, sa solubilité change aussi. Prenons l'exemple de la caséine. La caséine est la principale protéine du lait et c'est une phosphoprotéine. Cela signifie qu'elle possède un groupe phosphate attaché à la chaîne d'acides aminés dans sa structure polypeptidique. 
À un pH intermédiaire (pH 2-pH 10), la caséine est à peu près insoluble parce qu'elle aurait un nombre égal d'ions chargés positivement et négativement. La charge nette de la caséine serait donc nulle. 
Le pH auquel une protéine contient une charge nette nulle s'appelle le point isoélectrique.
Maintenant, si nous l'ajoutons à une solution diluée de NaOH (solution à pH élevé), la caséine aurait une charge négative nette en raison de l'ionisation de ses chaînes latérales acides. Elle deviendrait alors soluble. 
La caséine est également soluble dans les solutions fortement acides. Lorsqu'elle est ajoutée à une solution à faible pH, la protonation de ses chaînes latérales basiques se produit, ce qui confère à la caséine une charge positive nette.
 Fig. 4 : Structures de la caséine à différents pH, Isadora Santos - StudySmarter Originals.
Fig. 4 : Structures de la caséine à différents pH, Isadora Santos - StudySmarter Originals.
pH acide et solubilité de l'hémicellulose
Les hémicelluloses sont un composant structurel des cellules végétales. Ce sont des polysaccharides de la paroi cellulaire, capables de se lier fortement aux microfibrilles de cellulose par des liaisons hydrogène.
Leshémicelluloses sont un groupe de polysaccharides de la paroi cellulaire.
Une liaison hydrogène est une liaison relativement faible impliquant deux atomes électronégatifs et de l'hydrogène entre eux. Par exemple, l'eau est un liquide qui forme un grand nombre de liaisons hydrogène dans sa structure.
Lexyloglucane est un type d'hémicellulose que l'on trouve dans les parois primaires de toutes les plantes terrestres. On dit que les xyloglucanes sont liés à la cellulose par des liaisons hydrogène et aux pectines par des liaisons covalentes. Ils aident la cellulose à supporter la charge. 
La plupart des hémicelluloses sont considérées comme plus solubles dans les solutions alcalines (pH > 7) que dans les solutions à faible pH. Dans l'eau, la plupart des hémicelluloses sont insolubles.
 Fig. 5 : Schéma de la paroi cellulaire d'une plante, Wikimedia Commons.
Fig. 5 : Schéma de la paroi cellulaire d'une plante, Wikimedia Commons. 
pH et solubilité - Principaux enseignements
- Lasolubilité d'une substance est la quantité de substance qui peut être dissoute dans une quantité donnée de solvant à une température donnée.
- LepH est une mesure de la concentration de protons (ions  H+ ) dans une solution.
- Lessels acides sont plus solubles dans les solutions basiques (pH > 7), et moins solubles dans les solutions acides. Lessels basiques  sont plus solubles dans les solutions acides (pH < 7), et moins solubles dans les solutions basiques. La solubilité des sels neutres n'est pas affectée par un changement de pH. 
- Lasolubilité molaire est la concentration molaire du solide qui se dissocie dans l'eau.
Références
- "Cours de chimie générale du Tchad : Effets du pH sur la solubilité." Chad's Prep -- DAT, MCAT, OAT & Science Prep, courses.chadsprep.com/courses/take/general-chemistry-1-and-2/quizzes/2570261-17-6-ph-effects-on-solubility-4-questions. 
- PH et solubilité des protéines. https://www.flinnsci.com/api/library/Download/25c26f81fcae4cccadbe40045f38a646. 
- "Hémicellulose - un aperçu | ScienceDirect Topics". Sciencedirect.com, 2009, www.sciencedirect.com/topics/agricultural-and-biological-sciences/hemicellulose. 
- Cheng, Heli, et al. "Alkali Extraction of Stover". BioResources, vol. 11, no. 1, 2010, pp. 196-206, bioresources.cnr.ncsu.edu/BioRes_06/BioRes_06_Unsecured/BioRes_06_1_0196_Cheng_ZFL_Alk_Etrac_Hemicel_Stover_Pulping_1289.pdf. Consulté le 26 juin 2022. 
- " 18.7 : Solubilité et PH ". Chemistry LibreTexts, 26 nov. 2013, chem.libretexts.org/Bookshelves/General_Chemistry/Map%3A_General_Chemistry_(Petrucci_et_al.)/18%3A_Solubility_and_Complex-Ion_Equilibria/18.7%3A_Solubility_and_pH.