Différences entre les liaisons Sigma et Pi
Tu trouveras ci-dessous un tableau mettant en évidence les différences les plus importantes que tu dois connaître entre les liaisons sigma et pi. Nous reviendrons plus en détail sur chacune d'entre elles. 
| Obligations sigma (σ) | Liaisons Pi (π) | 
| Formées par le chevauchement tête à tête entre les orbitales atomiques (hybridées et non hybridées). | Formées par un chevauchement latéral entre les orbitales p | 
| Liaison covalente la plus forte | Liaison covalente plus faible | 
| Peut exister indépendamment dans les liaisons simples. On la trouve également dans les liaisons doubles et triples | Doit coexister avec une liaison sigma et n'existe que dans les liaisons doubles et triples. | 
Tableau 1. Différences entre les liaisons sigma et pi, Source :Tallya Lutfak, StudySmarter original 
Formation des liaisons sigma et pi
Bon, maintenant tu te demandes probablement ce que signifie le chevauchement tête à tête et latéral des orbitales atomiques.  Cela n'a absolument rien à voir avec des têtes réelles, mais cette différence se réfère plutôt à l'endroit où la liaison entre les orbitales se produit réellement. Dans les liaisons sigma, le chevauchement tête à tête signifie que les deux orbitales se chevauchent directement entre les noyaux des atomes, tandis que le chevauchement latéral signifie que les deux orbitales se chevauchent parallèlement dans l'espace situé au-dessus et au-dessous des noyaux. 
 
  Trois types de liaisons sigma entre les orbitales atomiques s-s, s-p et p-p et une liaison pi entre les orbitales p-p. Tallya Lutfak, StudySmarter Original.
Trois types de liaisons sigma entre les orbitales atomiques s-s, s-p et p-p et une liaison pi entre les orbitales p-p. Tallya Lutfak, StudySmarter Original.
Force des liaisons sigma et pi
 Comme nous l'avons vu plus haut, les liaisons sigma ont une plus grande zone de chevauchement. En raison de cette différence de chevauchement, les liaisons sigma et pi diffèrent en termes de force de liaison. Cette plus grande zone de chevauchement correspond à une plus grande chance de trouver des électrons de valence entre les noyaux des atomes. De plus, les électrons étant plus proches des noyaux, la liaison sigma est plus forte.
Bien qu'une seule liaison sigma soit plus forte qu'une liaison pi, lorsqu'elles sont toutes deux présentes (comme dans les liaisons doubles et triples), leur force combinée est supérieure à celle d'une seule liaison. 
Ensuite, nous examinerons quelques exemples de liaisons sigma et pi dans différentes molécules afin que tu sois plus familier avec les interactions orbitales associées à chaque liaison. 
Exemples d'obligations Sigma et Pi
Le diagramme ci-dessus montre que les liaisons sigma peuvent se produire entre le chevauchement de deux orbitales atomiques s, d'une orbitale s et d'une orbitale p ou de deux orbitales p. Un autre type d'interaction qui crée une liaison sigma est le chevauchement de deux orbitales atomiques hybridées telles que sp-sp.  Les liaisons Pi sont généralement formées exclusivement par le chevauchement latéral d'orbitales p non hybridées.  Voici un tableau pratique qui donne des exemples de chaque type d'interaction !
| Type de liaison | Orbitales atomiques qui se chevauchent | Exemple de molécules | 
| sigma | s-s | H2, H-H | 
| sigma | p-p | F2, F-F | 
| sigma | tête contre tête s-p | HCl, H-Cl | 
| sigma | sp2-sp2 | C=C dans C2H4 | 
| liaisons pi | côte à côte p-p | O=O dans O2 | 
Tableau 2. Exemples de liaisons sigma et pi. Source : Tallya Lutfak, StudySmarter Original
Nous allons maintenant explorer quelques exemples de liaisons sigma et pi dans le contexte des liaisons multiples et identifier combien de liaisons sigma et pi existent dans les liaisons doubles et triples.
Liaisons sigma et pi dans les liaisons doubles
Voici quelques exemples de molécules comportant des liaisons doubles  
- O2 ou O=O
- NO ou N=O
- CO2 ou O=C=O
 Les doublesliaisons se produisent entre deux atomes qui partagent quatre électrons (deux paires d'électrons). 
Si tu as dit une liaison sigma et une liaison pi, tu as raison ! Une double liaison est toujours composée d'une liaison sigma et d'une liaison pi. Mais pourquoi en est-il ainsi ? 
Une liaison simple est toujours une liaison sigma et deux liaisons sigma ne peuvent pas exister entre les mêmes atomes. Une fois qu'une liaison sigma est formée avec un chevauchement tête à tête, la seule autre façon pour deux atomes de partager des électrons est le chevauchement côté à côté d'une liaison pi.
Liaisons sigma et pi dans les triples liaisons
Voici quelques exemples de molécules comportant des liaisons triples 
- N2 ou ![]() 
- C2H2 ou H - ![]() - H - H
- CO ou ![]() 
Les triplesliaisons se produisent entre deux atomes qui partagent six électrons (trois paires d'électrons). 
Combien de liaisons sigma et pi existe-t-il dans une triple liaison ? Si tu as répondu une liaison sigma et deux liaisons pi, tu as encore raison ! Une triple liaison est toujours composée d'une liaison sigma et de deux liaisons pi. 
Problèmes pratiques sur le comptage des liaisons sigma et pi 
Maintenant que nous savons ce que sont les liaisons sigma et pi et quand elles apparaissent dans les liaisons simples, doubles et triples, il ne nous reste plus qu'à mettre nos connaissances en pratique ! 
Lorsqu'une question porte sur le comptage du nombre de liaisons sigma et pi présentes dans une certaine molécule, elle peut te donner une version condensée de la formule structurelle ou une structure de Lewis complète. Si l'on ne te donne qu'une formule condensée, tu dois t'assurer que tu peux dessiner toi-même le schéma de Lewis avec précision. Si tu as besoin de te rafraîchir la mémoire, consulte le diagramme en points de Lewis.  
Prenons quelques exemples !
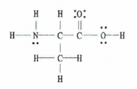
Combien de liaisons sigma (σ) et pi (π) trouve-t-on dans la molécule ci-dessous ? 
 Fig. 2 : Structure de Lewis de C3H7NO2.
Fig. 2 : Structure de Lewis de C3H7NO2. 
La bonne nouvelle, c'est que cet exemple nous fournit le diagramme de Lewis complet, il nous suffit donc de compter le nombre de liaisons simples, doubles et triples. 
Il y a 11 liaisons simples, 1 liaison double et 0 liaison triple.
Rappelle-toi que chaque liaison simple est une liaison sigma et que chaque liaison double est composée d'une liaison sigma et d'une liaison pi.
Cela signifie donc qu'au total, il y a 12 liaisons sigma (11 liaisons simples + 1 liaison sigma de la double liaison) et 1 liaison pi dans cette molécule. 
Maintenant, nous allons faire un exemple dans lequel nous devons dessiner nous-mêmes le schéma de Lewis de la molécule. Cela te permettra de t'entraîner à dessiner des structures de Lewis et à compter les liaisons. 
Combien de liaisons sigma et pi trouve-t-on dansC2H2, l'éthyne ? 
La première chose à faire est de dessiner notre structure de Lewis afin de voir correctement toutes les liaisons.
Lastructure correcte doitressembler à ce qui suit :
![]()
Maintenant, nous suivons le même processus et comptons toutes les liaisons simples, doubles et triples de la molécule.
Il y a 2 liaisons simples et 1 liaison triple.
À ton avis, quel est le nombre total de liaisons sigma et pi ?
Il y a 3 liaisons sigma (2 liaisons simples + 1 liaison sigma provenant de la triple liaison) et 2 liaisons pi (provenant de la triple liaison).
Les liaisons sigma et pi - Principaux points à retenir
- Les liaisons sigma se forment par le chevauchement tête à tête des orbitales atomiques et sont les premières liaisons covalentes formées entre les atomes.
- Les liaisons Pi se forment par le chevauchement latéral des orbitales p et sont les deuxième et troisième liaisons formées entre les atomes. 
- Les principales différences sont que les liaisons sigma peuvent se former entre des orbitales hybridées et sont plus fortes que les liaisons pi.
- Une liaison simple est constituée d'une liaison sigma, une liaison double est constituée d'une liaison sigma et d'une liaison pi et une liaison triple est constituée d'une liaison sigma et de deux liaisons pi.